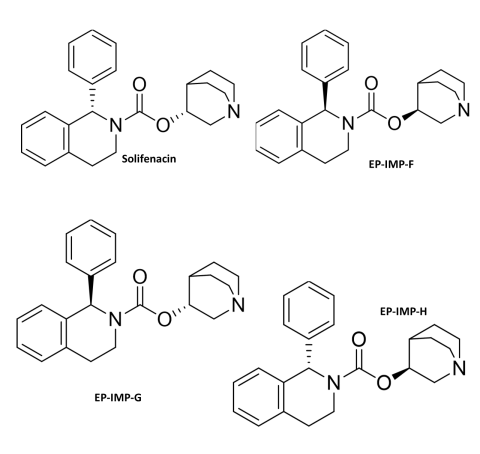
رقم CAS
732228-02-3
رقم CAS البديل
180468-38-6 (ملح حمض الهيدروكلوريك)؛ 862207-71-4 (ملح السكسينات)
الصيغة الجزيئية
C23H26N2O2
وزن جزيئي
362.46
مرادف

(3S)-1-Azabicyclo[2.2.2]oct-3-yl (1S)-1-phenyl-3,4-dihydroisoquinoline-2(1H)-carboxylate; (S)-(S)-Quinuclidin-3-yl 1-phenyl-3,4-dihydroisoquinoline-2(1H)-carboxylate; Solifenacin (1S,3S)-Isomer; S,S-Solifenacin Diastereomer

Slide 1.GIF