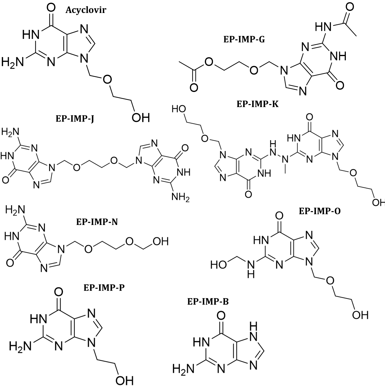
Catégorie
Numéro CAS
Aciclovir STD-59277-89-3: IMP-B-73-40-5;635-39-2(HCl Salt);10333-92-3(Sulphate Salt): IMP-G-75128-73-3: IMP-J-166762-90-9: IMP-K-1797131-64-6: IMP-N-NA: IMP-O-2190509-40-9: IMP-P-23169-33-7
Formule moléculaire
Aciclovir STD-C8H11N5O3: IMP-B-C5H5N5O: IMP-G-C12H15N5O5: IMP-J-C14H16N10O4: IMP-K-C17H22N10O6: IMP-N-C9H13N5O4: IMP-O-C9H13N5O4: IMP-P-C7H9N5O2
Masse moléculaire
Aciclovir STD-225.2: IMP-B-151.13: IMP-G-309.28: IMP-J-388.34: IMP-K-462.42: IMP-N-255.2: IMP-O-255.2: IMP-P-195.18
Synonyme

Aciclovir STD-2-amino-9-(2-hydroxyethoxymethyl)-1H-purin-6-one; Aciclovir - API (IP); Acycloguanosine; Acicloftal; Cargosil; Gerpevir; Herpevir; Zovirax; Zyclir; 2-Amino-1,9-dihydro-9-[(2-hydroxyethoxy)methyl]-6H-purin-6-one; 2-Amino-9-((2-hydroxyethoxy)methyl)-1,9-dihydro-6H-purin-6-one; 2-Amino-9-((2-hydroxyethoxy)methyl)-1H-purin-6(9H)-one; 2-Amino-9-((2-hydroxyethoxy)methyl)-3,9-dihydro-6H-purin-6-one; 2-Amino-9-[(2-hydroxyethoxy)methyl]-6,9-dihydro-3H-purin-6-one; 6H-Purin-6-one, 2-amino-1,9-dihydro-9-[(2-hydroxyeth oxy)methyl]; 9-[(2-Hydroxyethoxy)methyl]guanine (USP)

Aciclovir EP-Impurity-B-2-amino-1,7-dihydropurin-6-one; 2-Amino-1,7-dihydro-6H-purin-6-one; 2-Amino-1,9-dihydro-6H-purin-6-one; 2-Amino-hypoxanthine; 2-Amino-1,9-dihydro-6H-purin-6-one;2-Amino-6-hydroxy-1H-purine; 2-Amino-6-hydroxypurine; 2-Aminohypoxanthine; 9H-Guanine; Ganciclovir Impurity F; Aciclovir Impurity B; Guanine (Acyclovir USP Impurity) (USP)

Aciclovir EP-Impurity-G-2-[(2-acetamido-6-oxo-1H-purin-9-yl)methoxy]ethyl acetate; 2-[[2-(Acetylamino)-6-oxo-1,6-dihydro-9H-purin-9-yl]methoxy]ethyl Acetate

Aciclovir EP-Impurity-J-2-amino-9-[2-[(2-amino-6-oxo-1H-purin-9-yl)methoxy]ethoxymethyl]-1H-purin-6-one; 9,9′-[Ethylenebis(oxymethylene)]bis(2-amino-1,9-dihydro-6H-purin-6-one)

Aciclovir EP-Impurity-K-9-(2-hydroxyethoxymethyl)-2-[[[9-(2-hydroxyethoxymethyl)-6-oxo-1H-purin-2-yl]amino]methylamino]-1H-purin-6-one; 2,2′-(Methylenediimino)bis[9-[(2-hydroxyethoxy)methyl]-1,9-dihydro-6H-purin-6-one]

Aciclovir EP-Impurity-N-2-Amino-9-((2-(hydroxymethoxy)ethoxy)methyl)-1,9-dihydro-6H-purin-6-one; O-Hydroxymethylaciclovir

Aciclovir EP-Impurity-O-9-[(2-Hydroxyethoxy)methyl]-2-[(hydroxymethyl)amino]-1,9-dihydro-6H-purin-6-one; Diglycolylguanine (USP)

Aciclovir EP-Impurity-P-2-amino-9-(2-hydroxyethyl)-1H-purin-6-one; 2-Amino-9-(2-hydroxyethyl)-1,9-dihydro-6H-purin-6-one

slide.1