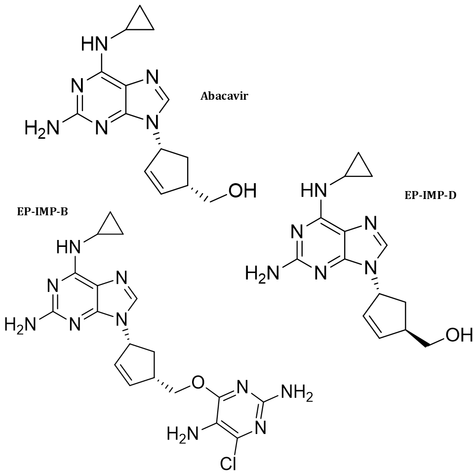
رقم CAS
أباكافير STD-136470-78-5؛ 188062-50-2 (ملح الكبريتات)؛ 136777-48-5 (ملح هيدروكلوريد): IMP-B-1443421-69-9؛ IMP-D-1443421-67-7؛ 783292-37-5 (الكيمياء الفراغية النسبية)
الصيغة الجزيئية
أباكافير STD-C14H18N6O: IMP-B-C18H21ClN10O: IMP-D-C14H18N6O
وزن جزيئي
أباكافير STD-286.33: IMP-B-428.88: IMP-D-286.34
مرادف

Abacavir STD-[(1S,4R)-4-[2-amino-6-(cyclopropylamino)purin-9-yl]cyclopent-2-en-1-yl]methanol; (1S,4R)-4-[2-Amino-6-(cyclopropylamino)-9H-purin-9-yl]-2-cyclopentene-1-methanol; (1S-cis)-4-[2-Amino-6-(cyclopropylamino)-9H-purin-9-yl]-2-cyclopentene-1-methanol; ABC; ((1S,4R)-4-(2-Amino-6-(cyclopropylamino)-9H-purin-9-yl)cyclopent-2-en-1-yl)methanol; Abacavir (USP)

Abacavir-EP-Impurity-B-6-N-cyclopropyl-9-[(1R,4S)-4-[(2,5-diamino-6-chloropyrimidin-4-yl)oxymethyl]cyclopent-2-en-1-yl]purine-2,6-diamine

Abacavir-EP-Impurity-D-[(1R,4R)-4-[2-amino-6-(cyclopropylamino)purin-9-yl]cyclopent-2-en-1-yl]methanol

slide.1