أباكافير هو دواء مضاد للفيروسات القهقرية يُستخدم لعلاج فيروس نقص المناعة البشرية (الإيدز). تم تطويره في ثمانينيات القرن العشرين، وحصل على الموافقة للاستخدام الطبي في أواخر التسعينيات. يتميّز تاريخ هذا الدواء بفعاليته في علاج فيروس نقص المناعة، ولكن أيضاً باكتشاف تفاعل فرط حساسية شديد لدى بعض المرضى، مما أدى إلى اعتماد فحص وراثي روتيني قبل وصفه للمرضى. يُصنَّف أباكافير ضمن مثبطات النوكليوزيد للناسخ العكسي (NRTI)، وقد تمت الموافقة عليه في الولايات المتحدة عام 1998، ويُستخدم ضمن العديد من العلاجات المركّبة. شمل تطوير الدواء إصدار براءة اختراع لاستخدامه في حالات الطوارئ، بالإضافة إلى برنامج الوصول الموسّع الذي أتاح استخدامه المبكر مع مراقبة فعاليته وآثاره.

الأسماء التجارية

• زياجن (Ziagen):
زياجن هو دواء يُصرف بوصفة طبية ومعتمد من قِبل إدارة الغذاء والدواء الأمريكية (FDA) لعلاج فيروس نقص المناعة البشرية (HIV) لدى البالغين والأطفال والرضّع. يحتوي زياجن على المادة الفعالة أباكافير، والتي تُؤخذ دائمًا مع أدوية أخرى مضادة لفيروس نقص المناعة.

آلية العمل:

أباكافير هو من مثبطات إنزيم النسخ العكسي النوكلوزيدية (NRTI)، ويعمل عن طريق استهداف إنزيم النسخ العكسي لفيروس نقص المناعة البشرية (HIV). بعد دخول الجسم، يتحول أباكافير إلى شكله النشط، المعروف باسم كاربوفير ثلاثي الفوسفات، والذي يُشبه النيوكليوتيدات الطبيعية التي يستخدمها الفيروس في تصنيع الحمض النووي (DNA). وعندما يتم دمجه في سلسلة الحمض النووي الفيروسي أثناء عملية النسخ، يتسبب كاربوفير ثلاثي الفوسفات في إنهاء السلسلة بشكل مبكر، مما يمنع الفيروس من التكاثر ويؤدي إلى تقليل الحمل الفيروسي في الجسم.

الحرائك الدوائية:

الامتصاص:

يُعتبر أباكافير دواءً مضادًا للفيروسات الراجعة، ويتم امتصاصه بسرعة وكفاءة عالية بعد تناوله عن طريق الفم، حيث يتمتع بتوافر حيوي مرتفع يُقَدّر بحوالي 83%. وبفضل هذا الامتصاص الفعّال، يمكن تناوله مع الطعام أو بدونه. وعادةً ما يصل الدواء إلى أعلى تركيز له في مجرى الدم خلال فترة تتراوح بين ساعة إلى 1.7 ساعة بعد تناوله.

التوزيع:

حجم توزيع دواء أباكافير يبلغ حوالي0.86 ± 0.15‎ لتر/كجم عند إعطائه عن طريق الوريد. وترتبط نسبة تقارب 50% من الدواء ببروتينات البلازما، ويُلاحظ أن هذا الارتباط لا يتأثر بتركيز الدواء في البلازما. يتم إخراج حوالي 82.2% من الدواء عن طريق البول (منها 1.2% فقط بشكل غير متغير)، و16% عن طريق البراز. يبلغ عمر النصف للدواء حوالي1.54 ± 0.63‎ ساعة.

الاستقلاب (الأيض):

يتم استقلاب أباكافير، وهو من مثبطات إنزيم النسخ العكسي النوكلوزيدية (NRTI)، بشكل رئيسي في الكبد من خلال مسارين إنزيميين منفصلين. ويُطرح فقط جزء صغير من الدواء، أقل من 2%، من الجسم دون تغيير في شكله الكيميائي.

الإطراح:

يتم التخلص من أباكافير بشكل أساسي عن طريق استقلابه في الكبد، حيث يتحول إلى نواتج غير فعّالة يتم إخراجها لاحقًا عن طريق الكلى والبراز. وتلعب الكلى دورًا محدودًا جدًا في طرح الدواء بشكله غير المتغير.

الديناميكا الدوائية:

يُعد أباكافير من مثبطات إنزيم النسخ العكسي النوكلوزيدية (NRTI)، ويُستخدم بفعالية ضد فيروس نقص المناعة البشرية من النوع الأول (HIV-1). بعد دخوله الخلية، يتحول أباكافير إلى مستقلباته النشطة عن طريق الفسفرة، والتي تتنافس مع النيوكليوتيدات الطبيعية للاندماج في الحمض النووي الفيروسي. هذا التنافس يؤدي إلى تثبيط إنزيم النسخ العكسي للفيروس بشكل تنافسي، ويؤدي إلى إنهاء مبكر لعملية تخليق الحمض النووي.

تركيز الدواء اللازم لتثبيط تكاثر الفيروس بنسبة 50% (EC50) يتراوح بين3.7 إلى5.8 ميكرومول/لتر (μM) لفيروس HIV-1IIIB، وبين0.07 إلى1.0 ميكرومول/لتر لفيروس HIV-1BaL، ويبلغ متوسطه حوالي0.26 ± 0.18 ميكرومول/لتر ضد ثمانية عزلات سريرية.

في زراعة الخلايا، يُظهر أباكافير تأثيرًا تآزريًا عند استخدامه مع أدوية أخرى مثل مثبط النسخ العكسي النوكلوزيدي زيدوفودين، والمثبط غير النوكلوزيدي إنيفيرابين، والمثبط البروتيني أمبرينافير. كما يُظهر تأثيرًا إضافيًا عند استخدامه مع مثبطات أخرى من فئة NRTIs مثل ديدانوزين، إمتريسيتابين، لاميفودين، ستافودين، تينوفوفير، وزالسيتابين.

طريقة الإعطاء:

يُعطى أباكافير عن طريق الفم، وعادةً ما يكون على شكل أقراص أو محلول فموي. ويُوصف كجزء من نظام علاج مركّب مضاد للفيروسات القهقرية، ويجب دائمًا تناوله مع أدوية أخرى خاصة بفيروس نقص المناعة البشرية لضمان كفاءة كبح الفيروس.

يمكن تناول أباكافير مع الطعام أو بدونه، مما يوفر مرونة في جدول الجرعات. وتعتمد الجرعة وتكرار الاستخدام على عمر المريض ووزنه والحالة السريرية.

من الضروري الالتزام بالجدول الزمني الموصوف بدقة للحفاظ على مستويات فعّالة من الدواء في الدم وتقليل خطر تطوّر مقاومة الفيروس للعلاج. وقبل بدء العلاج، يجب فحص المريض للكشف عن وجود أليل HLA-B*5701 لتقليل خطر حدوث تفاعلات فرط الحساسية.

الجرعة والتركيز:

في حالات التعرّض المهني لفيروس نقص المناعة البشرية (HIV)، توصي هيئة الخدمات الصحية العامة الأمريكية باستخدام أباكافير بجرعة 300 ملغ مرتين يوميًا أو 600 ملغ مرة واحدة يوميًا لمدة 28 يومًا، إذا كان المريض يتحمل العلاج. ويُفضل البدء بالعلاج بأسرع وقت ممكن، ويفضل أن يكون خلال ساعات من التعرّض، ويجب أن يُستخدم فقط كجزء من نظام علاجي بديل تحت إشراف مختصين.

في علاج الأطفال المصابين بفيروس HIV (من عمر 3 أشهر فأكثر)، يتم إعطاء المحلول الفموي بجرعة:

  • ملغ/كجم مرتين يوميًا
  • أو 16 ملغ/كجم مرة واحدة يوميًا
    مع حد أقصى للجرعة اليومية يبلغ 600 ملغ.

جرعة الأقراص للأطفال حسب الوزن:

  • من 14 إلى أقل من 20 كجم:
    150 ملغ مرتين يوميًا أو 300 ملغ مرة واحدة يوميًا
  • من 20 إلى أقل من 25 كجم:
    150 ملغ في الصباح و300 ملغ في المساء، أو 450 ملغ مرة واحدة يوميًا
  • 25 كجم أو أكثر:
    300 ملغ مرتين يوميًا أو 600 ملغ مرة واحدة يوميًا

التداخلات الدوائية:

يمكن أن يتفاعل أباكافير مع أدوية أخرى بشكل يستدعي مراقبة دقيقة. ونظرًا لخطورة حدوث تفاعل فرط الحساسية الشديد، يجب عدم إعادة تعريض أي مريض سبق أن تعرض لهذا النوع من التفاعل مع أباكافير لأي منتج يحتوي على هذا الدواء، تحت أي ظرف.

التداخلات مع الطعام:

لا توجد تداخلات معروفة بين أباكافير والطعام، ويمكن تناوله مع أو بدون وجبات. ومع ذلك، قد يساعد تناوله مع الطعام في تقليل اضطرابات المعدة. من المهم ملاحظة أن أباكافير يتفاعل بشكل كبير مع الكحول، ويجب الحذر عند استخدامهما معًا.

موانع الاستعمال:

تشمل موانع استخدام أباكافير ما يلي:

  • وجود أليل HLA-B*5701
  • تاريخ سابق لفرط حساسية تجاه أباكافير
  • وجود قصور كبدي متوسط إلى شديد

الآثار الجانبية:

قد يُسبب أباكافير بعض الآثار الجانبية، ومنها:

  • التعب أو الشعور بإرهاق غير معتاد
  • اضطرابات في النوم أو أحلام غير طبيعية
  • صداع، حمى، قشعريرة، أو شعور عام بالتوعك
  • الغثيان أو التقيؤ
  • طفح جلدي
  • عند الأطفالاحتقان الأنف، العطاس، التهاب الحلق، أو ألم في الأذن

السمية:

أكثر حالات السمية خطورةً مع أباكافير هي تفاعل فرط الحساسية الذي قد يكون مميتًا، ويرتبط ارتباطًا قويًا بوجود متغير جيني HLA-B*5701. بالإضافة إلى ذلك، يمكن لأباكافير أن يسبب حُماض اللبن (اللاكتيك أسيدوز)، وسمية الكبد، وتأثيرات جانبية على القلب والأوعية الدموية.

الصورة
slide.1
رقم CAS
136470-78-5
رقم CAS البديل
188062-50-2 (ملح الكبريتات)؛ 136777-48-5 (ملح حمض الهيدروكلوريك)
رقم CAS
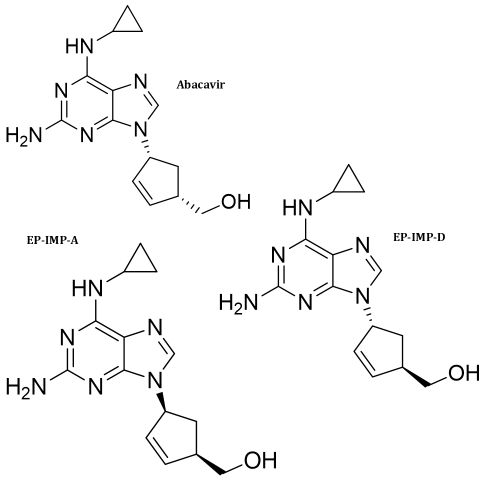
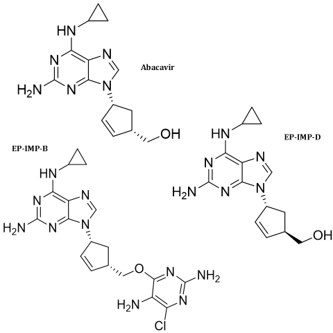
أباكافير STD-136470-78-5؛ 188062-50-2 (ملح الكبريتات)؛ 136777-48-5 (ملح هيدروكلوريد): IMP-B-1443421-69-9؛ IMP-D-1443421-67-7؛ 783292-37-5 (الكيمياء الفراغية النسبية)
رقم CAS
أباكافير STD-136470-78-5؛ 188062-50-2 (ملح الكبريتات)؛ 136777-48-5 (ملح هيدروكلوريد): IMP-A-136470-79-6؛ 935777-88-1 (ملح الكبريتات): IMP-D-1443421-67-7؛ 783292-37-5 (الكيمياء الفراغية النسبية)