Catégorie
Numéro CAS
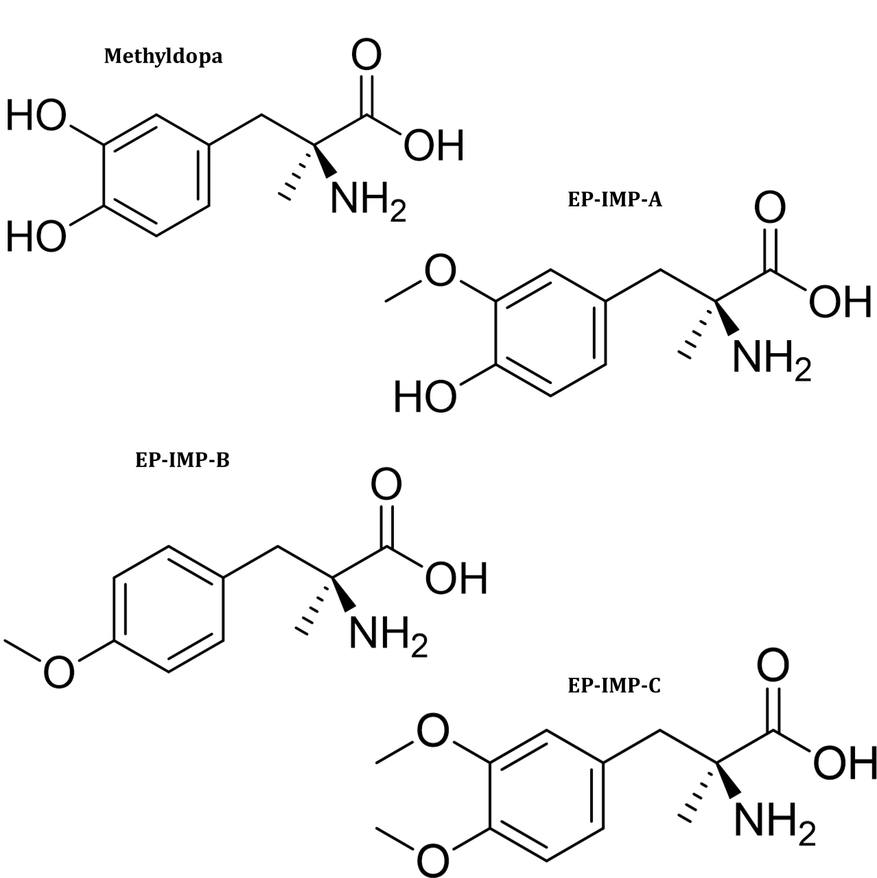
Methyldopa STD-555-30-6; 2508-79-4(HCl Salt);41372-08-1(Hydrate Salt): IMP-A-6739-31-7: IMP-B-65555-88-6; 35026-10-9(HCl Salt): IMP-C-39948-18-0; 5486-79-3(HCl Salt)
Formule moléculaire
Methyldopa STD-C10H13NO4: IMP-A-C11H15NO4: IMP-B-C11H15NO3: IMP-C-C12H17NO4
Masse moléculaire
Methyldopa STD-211.22: IMP-A-225.24: IMP-B-209.24: IMP-C-239.27
Synonyme

Methyldopa STD-(2S)-2-amino-3-(3,4-dihydroxyphenyl)-2-methylpropanoic acid; L-α-Methyldopa; Aldochlor; Aldomet; Aldometil; Aldomin; Alphamethyldopa; Medomet; Medopa; Medopren; Methoplain; Methyl-L-dopa; (-)-Methyldopa; L-Tyrosine, 3-hydroxy-α-methyl-; (2S)-2-Amino-3-(3,4-dihydroxyphenyl)-2-methylpropanoic Acid; 2-Methyl-3-(3,4-dihydroxyphenyl)alanine; Methyldopa (USP)

Methyldopa EP-Impurity-A-(2S)-2-amino-3-(4-hydroxy-3-methoxyphenyl)-2-methylpropanoic acid; 3-Methoxymethyldopa

Methyldopa EP-Impurity-B-(2S)-2-amino-3-(4-methoxyphenyl)-2-methylpropanoic acid;(2S)-2-Amino-3-(4-methoxyphenyl)-2-methylpropanoic Acid

Methyldopa EP-Impurity-C-(2S)-2-amino-3-(3,4-dimethoxyphenyl)-2-methylpropanoic acid; Methyldopa Dimethyl Ether; (2S)-2-Amino-3-(3,4-dimethoxyphenyl)-2-methylpropanoic Acid

slide.1