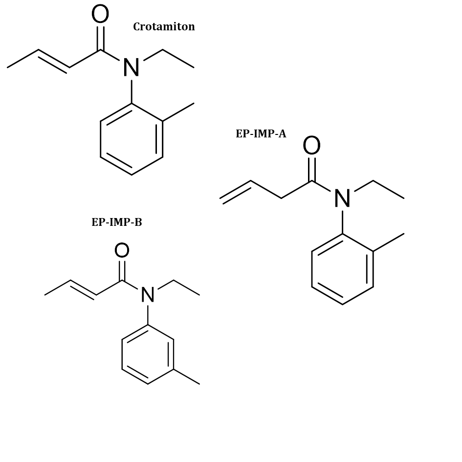
Catégorie
Numéro CAS
Crotamiton STD -483-63-6 ; IMP-A -13936-71-5 ; IMP-B- 1195353-67-3 ;
Formule moléculaire
Crotamiton STD -C13H17NO ; IMP-A - C13H17NO ; IMP-B- C13H17NO ;
Masse moléculaire
Crotamiton STD -203.28 g/mol; IMP-A - 203.3 g/mol ; IMP-B- 203.3 g/mol ;
Synonyme

Crotamiton - N-Ethyl-N-(2-methylphenyl)-2-butenamide ;

Crotamiton EP Impurity-A- N-Ethyl-N-(2-methylphenyl)but-3-enamide ;

Crotamiton EP Impurity-B- (2E)-N-Ethyl-N-(3-methylphenyl)but-2-enamide ;

Slide_1