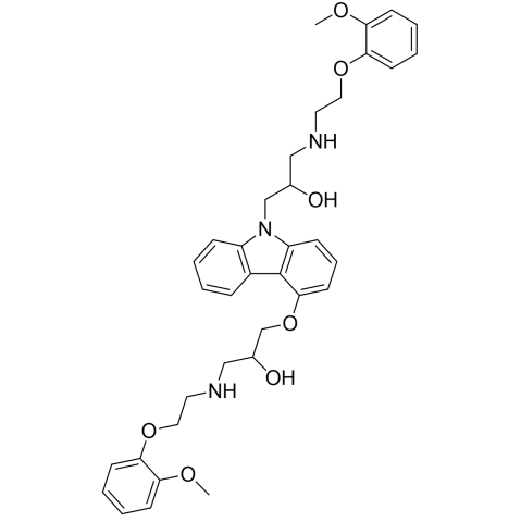
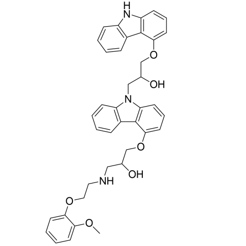
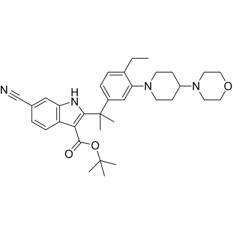
Impurities are undesirable chemical components that remain in the active pharmaceutical ingredient during formulation. Impurities may reduce a product's efficacy.

CAS Number
226256-56-0
Alternate CAS Number
364782-34-3(HCl Salt)
CAS Number
253337-60-9
Alternate CAS Number
2705511-09-5(HCl Salt)
CAS Number
105601-04-5
Alternate CAS Number
5441-61-2(HCl Salt)
CAS Number
4205-90-7
Alternate CAS Number
4205-91-8(HCl Salt)
CAS Number
4205-91-8
Alternate CAS Number
4205-90-7(Freebase)
CAS Number
949095-98-1
Alternate CAS Number
953028-76-7 (HCl salt) ; 949096-01-9 (HBr salt)
CAS Number
959392-22-4
Alternate CAS Number
2379325-42-3(oxalate Salt);2748376-86-3(HCl Salt)