Category
CAS Number
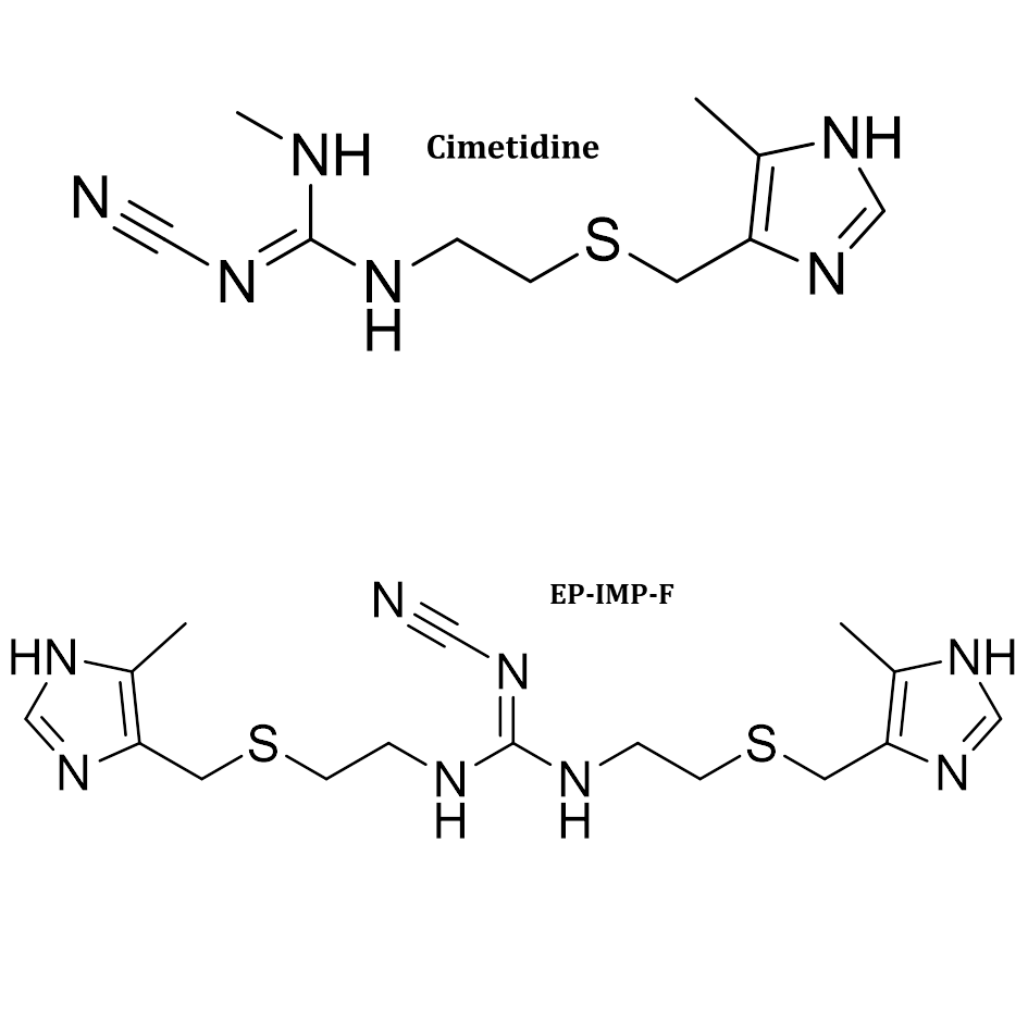
Cimetidine STD - 51481-61-9; IMP-F - 55272-86-1 ;
Molecular Formula
Cimetidine STD -C10H16N6S; IMP-F - C16H24N8S2 ;
Molecular Weight
Cimetidine STD - 252.3 g/mol ; IMP-F -392.5 g/mol;
Synonym

Cimetidine : 2-Cyano-1-methyl-3-[2-[[(5-methyl-1H-imidazol-4-yl)methyl]sulfanyl]ethyl]guanidine ;2-Cyano-1-methyl-3-[2-[[(5-methylimidazol-4-yl)methyl]thio]ethyl]guanidine ;

Cimetidine EP Impurity F : 2-Cyano-1,3-bis[2-[[(5-methyl-1H-imidazol-4-yl)methyl]sulfanyl]ethyl]guanidine ; Cimetidine bis Impurity ;

Slide_1