Category
CAS Number
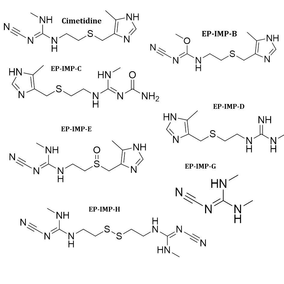
Cimetidine STD - 51481-61-9 : IMP-B- 138035-55-9 ; IMP-C- 77076-18-7 ; IMP-D-70172-53-1 ; IMP-E - 54237-72-8; IMP-G- 31857-31-5 ; IMP-H- 74886-59-2;
Molecular Formula
Cimetidine STD - C10H16N6S ; IMP-B-C10H15N5OS ; IMP-C-C10H18N6OS ; IMP-D-C9H17N5S ; IMP-E - C10H16N6OS ; IMP-G- C4H8N4 ; IMP-H- C10H18N8S2 ;
Molecular Weight
Cimetidine STD - 252.3 g/mol ; IMP-B-253.3 g/mol; IMP-C- 270.4 g/mol ; IMP-D- 227.3 g/mol ; IMP-E - 268.3g/mol; IMP-G- 112.1 g/mol ; IMP-H- 314.4 g/mol ;
Synonym

Cimetidine - 2-Cyano-1-methyl-3-[2-[[(5-methyl-1H-imidazol-4-yl)methyl]sulfanyl]ethyl]guanidine ;2-Cyano-1-methyl-3-[2-[[(5-methylimidazol-4-yl)methyl]thio]ethyl]guanidine;

Cimetidine EP Impurity B - Methyl 3-cyano-1-[2-[[(5-methyl-1H-imidazol-4-yl)methyl]sulfanyl]ethyl]carbamimidate ; Cimetidine Methoxy Analog ;

Cimetidine EP Impurity C - 1-[(Methylamino)[[2-[[(5-methyl-1H-imidazol-4-yl)methyl]sulfanyl]ethyl]amino]methylidene]urea ;

Cimetidine EP Impurity D - 1-Methyl-3-[2-[[(5-methyl-1H-imidazol-4-yl)methyl]sulfanyl]ethyl]guanidine ;

Cimetidine EP Impurity E - 2-Cyano-1-methyl-3[2-[[(5-methyl-1H-imidazol-4-yl)methyl]sulfinyl]ethyl]guanidine; Cimetidine Sulfoxide ;

Cimetidine EP Impurity G - 2-Cyano-1,3-dimethylguanidine ;

Cimetidine EP Impurity H - 1,1′-(disulfanediyldiethylene)bis(2-cyano-3-methylguanidine) ;Cimetidine Disulfane Impurity ;

Slide_1