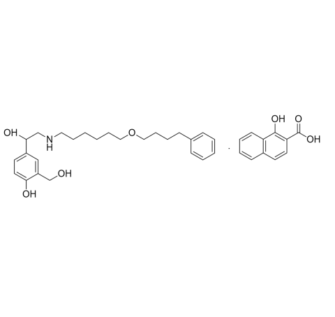
Salmeterol xinafoate is a long-acting beta-2 adrenergic agonist used as an inhaled medication for the long-term maintenance of asthma and chronic obstructive pulmonary disease (COPD). It works by relaxing the bronchial tubes, providing bronchodilation for at least 12 hours, and is not for immediate symptom relief. It is often combined with an inhaled corticosteroid in fixed-dose inhalers, especially for severe, persistent asthma. It was first described in the literature in 1emergency services, synthesized as a modification of albuterol in the 1980s, and was first marketed as Serevent in 1990. It received FDA approval in 1994 and was later approved in combination with other medications like fluticasone propionate for the treatment of asthma and COPD. In 2005, the FDA issued a warning regarding the use of long-acting beta-agonists like salmeterol due to potential risks, although guidelines still recommend their use in combination with inhaled corticosteroids. 

BRAND NAMES

Common brand names for salmeterol xinafoate are Serevent and Serevent Diskus, Advair, Wixela, AirDuo.

Other brands: Depending on the region, other brand names for salmeterol xinafoate include Aeromax, Seretide, and Salmeter. 

MECHANISM OF ACTION

Salmeterol xinafoate works by stimulating beta-2 adrenergic receptors in the lungs, resulting in relaxation of bronchial smooth muscle and sustained bronchodilation. This effect is mediated by an increase in intracellular cyclic AMP (cAMP), which inhibits myosin light chain kinase an enzyme essential for muscle contraction. Its long-acting nature is attributed to its molecular structure, which enables it to bind to an additional site on the receptor, thereby prolonging its action.

PHARMACOKINETICS

Absorption

Following inhalation, salmeterol xinafoate is absorbed through both pulmonary and gastrointestinal routes. Pulmonary absorption results in very low plasma concentrations due to the small administered dose. However, a second, smaller peak may appear approximately 45 minutes later, caused by the absorption of the portion that is swallowed. While the xinafoate component is also absorbed, it has no pharmacological effect and possesses a long half-life, which can lead to its accumulation in the plasma.

Distribution

The volume of distribution for salmeterol is approximately text for the central compartment and text for the peripheral compartment in asthmatic patients.

Metabolism

Salmeterol xinafoate is extensively metabolized in the liver by the enzyme CYP3A4, mainly through aliphatic oxidation to produce alpha-hydroxysalmeterol, its primary metabolite. The drug is then excreted via both feces and urine, with over 50% eliminated in the feces and approximately 23% in the urine. Notably, unchanged salmeterol is not detected in significant amounts in either route of excretion.

Elimination

Salmeterol is primarily eliminated through hepatic metabolism by the enzyme CYP3A4, undergoing extensive hydroxylation to form alpha-hydroxysalmeterol. This metabolite is subsequently excreted via both feces (approximately 57.4%) and urine (around 23%).

PHARMACODYNAMICS

Salmeterol xinafoate is a long-acting beta-2 adrenergic receptor agonist (LABA) that induces bronchodilation by relaxing airway smooth muscle. This effect is mediated by an increase in intracellular cyclic AMP (cAMP). Its prolonged action—lasting at least 12 hours—is due to a distinctive lipophilic side chain that binds to a nearby "exosite" on the receptor, enabling sustained and repeated activation of the receptor's active site.

DOSAGE AND ADMINISTRATION

Salmeterol xinafoate is administered via oral inhalation and is used as a long-acting bronchodilator for the maintenance treatment of asthma and chronic obstructive pulmonary disease (COPD). It is not intended for the relief of acute bronchospasm.

 

For adults and adolescents aged 12 years and older, the usual dose is 50 micrograms twice daily, approximately 12 hours apart. In children aged 4 to 11 years, the typical dose is also 50 micrograms twice daily, usually given in combination with an inhaled corticosteroid.

 

In asthma treatment, salmeterol must always be used alongside an inhaled corticosteroid due to the increased risk of asthma-related death when used alone. For COPD, it may be used alone or in combination with other bronchodilators, depending on the severity of the condition.

DRUG INTERACTIONS

Salmeterol xinafoate can interact with several drugs that may increase side effects or reduce effectiveness. Strong CYP3A4 inhibitors like ketoconazole and ritonavir can raise salmeterol levels, increasing the risk of heart-related problems. Beta-blockers may oppose its bronchodilator effects, while combining with other adrenergic drugs can amplify cardiovascular side effects. Diuretics that lower potassium, as well as MAO inhibitors and tricyclic antidepressants, can increase the risk of heart issues when used with salmeterol. Patients should always inform their doctor about all medications to avoid harmful interactions.

CONTRAINDICATIONS

Salmeterol xinafoate is contraindicated in patients with a known hypersensitivity to the drug or any of its components. It should not be used for the treatment of acute bronchospasm or asthma attacks, as it is not a rescue medication. Additionally, caution is advised in patients with cardiovascular disorders such as tachyarrhythmias or severe hypertension, where its use may increase the risk of adverse effects.

ADVERSE EFFECTS

Common side effects:

Headache.

Nervousness or tremor.

Dizziness.

Throat irritation, sore throat, or cough.

Stuffy or runny nose.

Muscle or joint pain.

Nausea or vomiting.

Flu-like symptoms.

Serious side effects:

Cardiovascular effects.

Respiratory effects.

Metabolic and nervous system effects.

Allergic reactions.

OVER DOSE

* Tremor or shakiness

* Headache and dizziness

* Nervousness or anxiety

* Rapid heartbeat (tachycardia)

* Palpitations

* Increased blood pressure (hypertension)

* Muscle cramps or weakness

* Nausea or vomiting

* Chest pain

* Irregular heart rhythms (arrhythmias)

* Low potassium levels (hypokalemia)

* High blood sugar (hyperglycemia)

* Seizures

TOXICITY

Salmeterol xinafoate toxicity primarily involves excessive stimulation of the beta-adrenergic receptors, leading to symptoms like fast or irregular heartbeat, tremors, and nervousness. Severe overdose can cause more serious effects such as cardiac arrest, seizures, and metabolic imbalances like hypokalemia, hypophosphatemia, and hyperglycemia. Overuse can also cause paradoxical bronchospasm, where breathing difficulties worsen.