Category
CAS Number
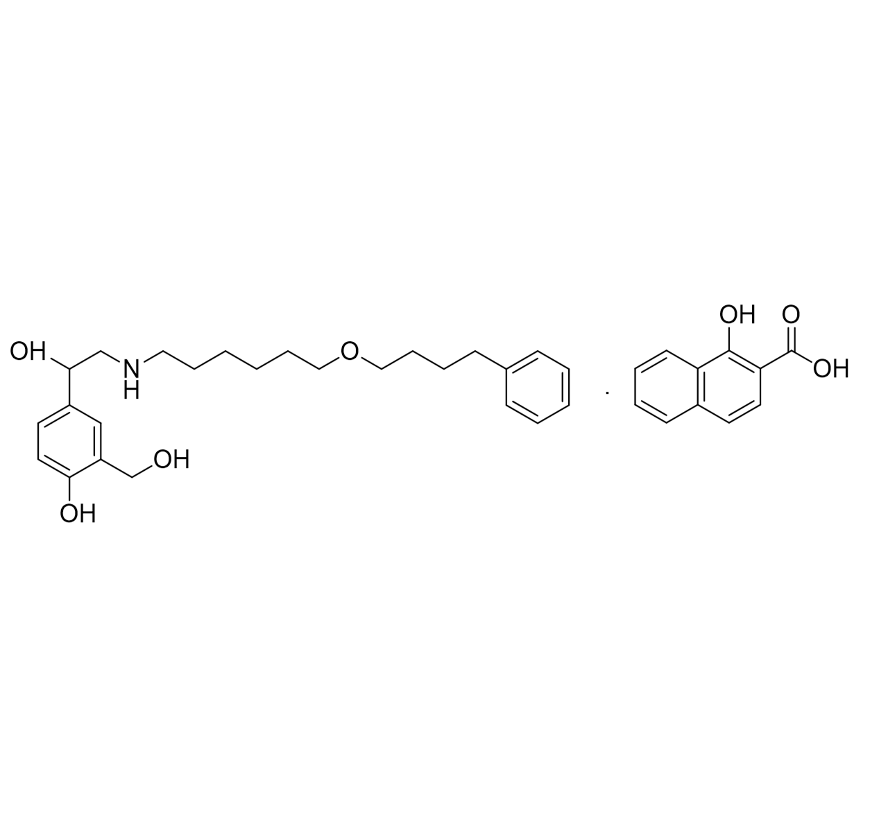
94749-08-3
Molecular Formula
C25H37NO4
Molecular Weight
603.75
Synonym

4-(1-hydroxy-2-((6-(4-phenylbutoxy)hexyl)amino)ethyl)-2-(hydroxymethyl)phenol 1-hydroxy-2-naphthoate; 2-Naphthalenecarboxylic acid, 1-hydroxy-, compd. with 4-hydroxy-α1-[[[6-(4-phenylbutoxy)hexyl]amino]methyl]-1,3-benzenedimethanol (1:1); (±)-4-Hydroxy-α 1-[[[6-(4-phenylbutoxy)hexyl]amino]methyl]-m-xylene-α,α ¢-diol 1-hydroxy-2-naphthoate (salt); 1,3-Benzenedimethanol, 4-hydroxy-α 1-[[[6-(4-phenylbutoxy)hexyl]amino]methyl]-, (±)-, 1-hydroxy-2-naphthalenecarboxylate

Slide 1.GIF