Bromperidol is an antipsychotic medication developed in the 1960s to treat schizophrenia and other psychotic disorders. It works by blocking dopamine receptors in the brain, helping to reduce hallucinations, delusions, and agitation. It is available by prescription and can be taken orally or by injection under medical supervision.

BRAND NAMES

It is sold under brand names such as Bromidoland Brodol. It works by blocking dopamine receptors in the brain and is available by prescription, usually orally or by injection. 

MECHANISM OF ACTION

Bromperidol works by blocking dopamine D2 receptors in the brain, which reduces overactive dopamine signaling associated with psychotic symptoms. This action helps control hallucinations, delusions, and agitation commonly seen in schizophrenia and other psychotic disorders.

PHARMACOKINETICS

Absorption

Bromperidol is absorbed from the gastrointestinal tract after oral administration. Peak plasma concentrations are usually reached within 2 to 6 hours, and the extent of absorption can be influenced slightly by food.

Distribution

Bromperidol distributes moderately into tissues, with about 90% bound to plasma proteins, leaving only a small portion free to act.

Metabolism

Bromperidol is primarily metabolized in the liver by hepatic enzymes, mainly through oxidative pathways. Its metabolites are mostly inactive and are eventually excreted via urine and feces.

Excretion

Bromperidol and its metabolites are mainly excreted through the urine, with a smaller portion eliminated in the feces. Most of the drug is cleared after hepatic metabolism.

PHARMACODYNAMICS

Bromperidol is an antipsychotic that works by blocking dopamine D2 receptors in the brain, reducing hallucinations, delusions, and agitation in psychotic disorders.

ADMINISTRATION

Bromperidol is administered orallyin tablet form or by intramuscular injection under medical supervision, depending on the patient’s condition and treatment needs.

DOSAGE AND STRENGTH

Bromperidol is available in tablets and injections, with typical oral doses of 2–10 mg per day, adjusted by a doctor based on response and tolerance.

FOOD INTERACTIONS

Bromperidol has no major known food interactions, but taking it with food may slightly affect absorption. It is generally recommended to follow your doctor’s instructions regarding meals when dosing.

DRUG INTERACTIONS

Bromperidol can interact with other medications. Drugs that affect the liver enzymes(CYP3A4 or CYP2D6) may alter its metabolism, while other CNS depressants orantipsychotics can increase side effects like sedation or movement disorders. 

CONTRAINDICATIONS

Bromperidol is contraindicated in patients with known hypersensitivity to the drug or other butyrophenone antipsychotics. It should be avoided in individuals with severecentral nervous system depression, coma, or Parkinson’s disease, and used cautiously in those with heart problems or a history of arrhythmias.

SIDE EFFECTS

  • Extrapyramidal symptoms (tremors, rigidity, restlessness)

  • Drowsiness or sedation

  • Dry mouth

  • Constipation

  • Weight changes

  • Cardiac arrhythmias

  • Neuroleptic malignant syndrome

OVERDOSE

  • Severe drowsiness or coma

  • Extreme muscle stiffness or tremors

  • Low or irregular heartbeat

TOXICITY

Bromperidol toxicity can result from overdose or impaired metabolism, causing severe drowsiness, movement problems, heart irregularities, breathing difficulties, and neuroleptic malignant syndrome, requiring immediate medical attention.

Image
Slide_1
CAS Number
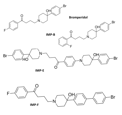
Bromperidol STD - 10457-90-6 : IMP - B - NA : IMP - E - 80980-88-7 : IMP - F - NA ;
CAS Number
Bromperidol Decanoate STD -75067-66-2:IMP-B-NA : IMP-D-NA : IMP-F-NA : IMP-J-NA : IMP-K-NA