Category
CAS Number
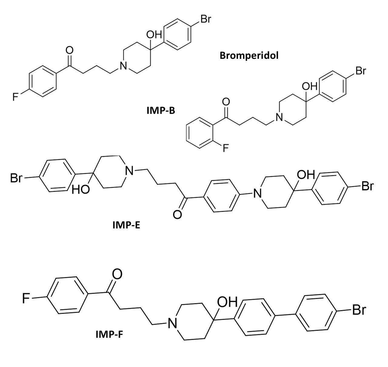
Bromperidol STD - 10457-90-6 : IMP - B - NA : IMP - E - 80980-88-7 : IMP - F - NA ;
Molecular Formula
Bromperidol STD - C21H23BrFNO2 : IMP - B - C21H23BrFNO2 : IMP - E - C32H36Br2N2O3 : IMP - F - C27H27BrFNO2 ;
Molecular Weight
Bromperidol STD - 420.32 g/mol : IMP - B - 420.32 g/mol: IMP - E -656.46 g/mol : IMP - F - 496.42 g/mol ;
Synonym

Bromperidol - 4-[4-(4-Bromophenyl)-4-hydroxy-1-piperidinyl]-1-(4-fluorophenyl)-1-butanone ; 

Bromperidol EP Impurity B - 4-[4-(4-Bromophenyl)-4-hydroxypiperidin-1-yl]-1-(2-fluorophenyl)butan-1-one ; 

Bromperidol EP Impurity E - 4-[4-(4-Bromophenyl)-4-hydroxypiperidin-1-yl]-1-[4-[4-(4-bromophenyl)-4-hydroxypiperidin-1-yl]phenyl]butan-1-one ; 

Bromperidol EP Impurity F - 4-[4-(4'-Bromobiphenyl-4-yl)-4-hydroxypiperidin-1-yl]-1-(4-fluorophenyl)butan-1-one ;

Slide_1