رقم CAS
NA
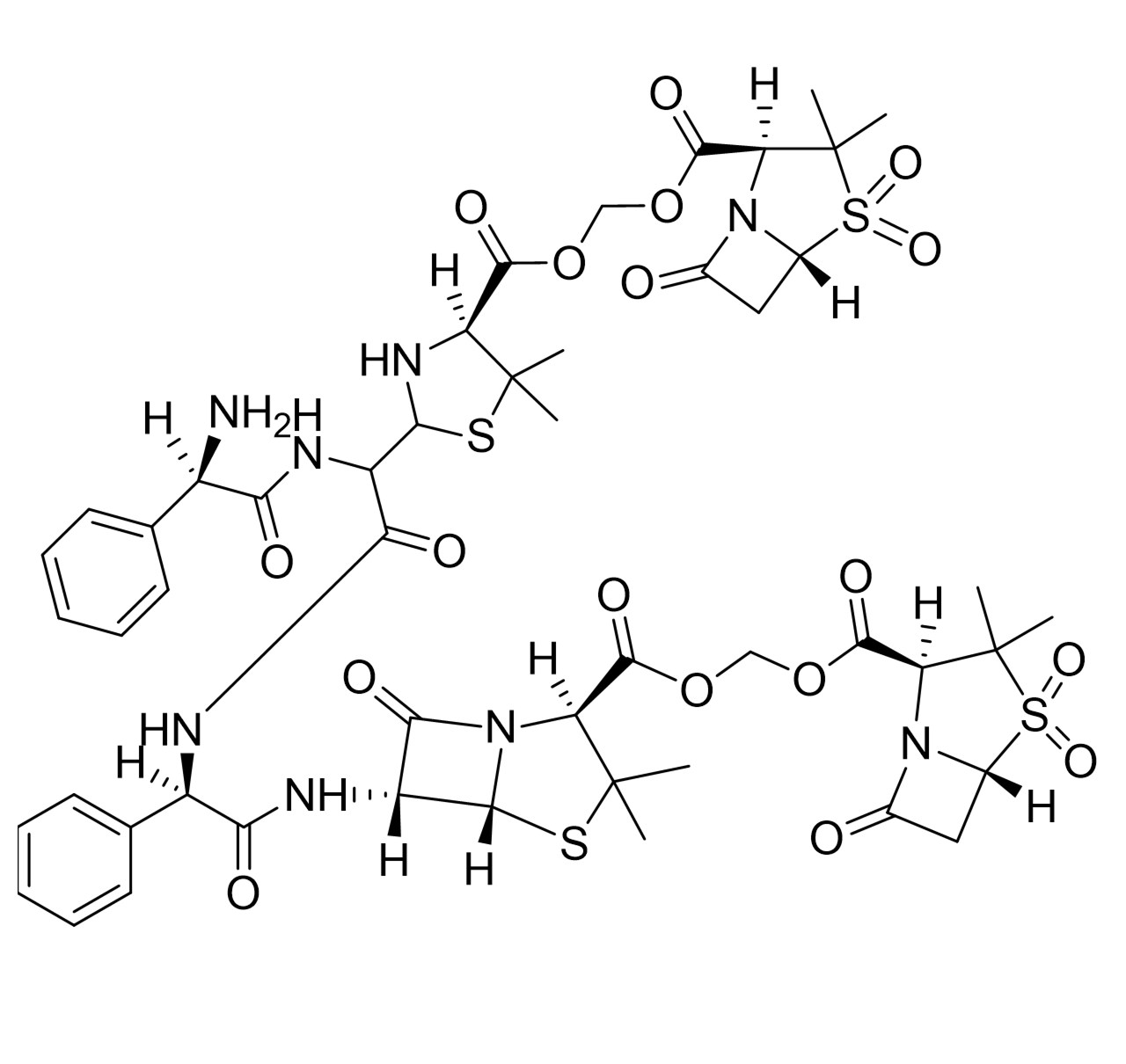
الصيغة الجزيئية
C50H60N8O18S4
وزن جزيئي
1189.31
مرادف

Methylene (2S,5R,6R)-6-[[(2R)-[[[[(2R)-amino-phenylacetyl]amino][(4S)-4-[[[[[(2S,5R)-3,3-dimethyl-4,4,7-trioxo-4λ6-thia-1-azabicyclo[3.2.0]hept-2-yl]-carbonyl]oxy]methoxy]carbonyl]-5,5-dimethylthiazolidin-2-yl]acetyl]amino]phenylacetyl]amino]-3,3-dimethyl-7-oxo-4-thia-1-azabicyclo [3.2.0]heptane-2-carboxylate (2S,5R)-3,3-dimethyl-4,4,7-trioxo-4λ6-thia-1-azabicyclo[3.2.0]heptane-2-carboxylate;(2S,2'S,5R,5'R)-(((4S,4'S)-2,2'-((R)-(((1R,1'R)-(((2S,2'S,5R,5'R,6R,6'R)-2,2'-((Methylenebis(oxy))bis(carbonyl))bis(3,3-dimethyl-7-oxo-4-thia-1-azabicyclo[3.2.0]heptane-6,2-diyl))bis(azanediyl))bis(2-oxo-1-phenylethane-2,1-diyl))bis(azanediyl))bis(1-((R)-2-amino-2-phenylacetamido)-2-oxoethane-2,1-diyl))bis(5,5-dimethylthiazolidine-4,4'-carbonyl))bis(oxy))bis(methylene) bis(3,3-dimethyl-7-oxo-4-thia-1-azabicyclo[3.2.0]heptane-2-carboxylate 4,4-dioxide) (2S,5R)-3,3-dimethyl-7-oxo-4-thia-1-azabicyclo[3.2.0]heptane-2-carboxylate 4,4-dioxide

Slide 1.GIF