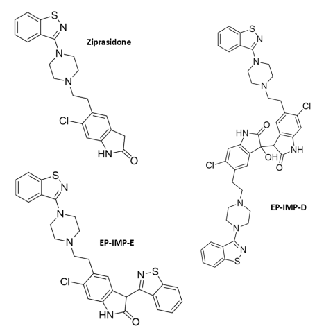
Category
CAS Number
146939-27-7
Alternate CAS Number
138982-67-9(HCl Monohydrate salt)
Molecular Formula
C21H21ClN4OS
Molecular Weight
412.94
Synonym

5-[2-[4-(1,2-benzothiazol-3-yl)piperazin-1-yl]ethyl]-6-chloro-1,3-dihydroindol-2-one; Geodon;5-(2-(4-(Benzo[d]isothiazol-3-yl)piperazin-1-yl)ethyl)-6-chloroindolin-2-one

slide.1