Category
CAS Number
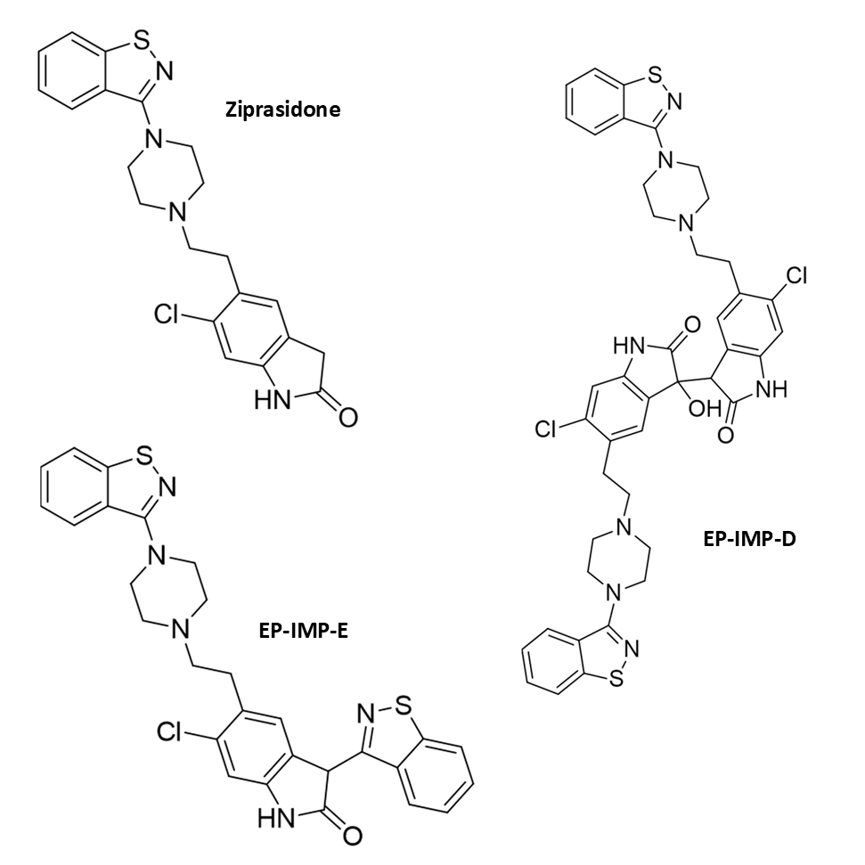
Ziprasidone-146939-27-7: IMP-D-1303996-68-0: IMP-E-1159977-04-4
Molecular Formula
Ziprasidone-C21H21ClN4OS: IMP-D-C42H40Cl2N8O3S2: IMP-E-C28H24ClN5OS2
Molecular Weight
Ziprasidone-412.936: IMP-D-839.85: IMP-E-546.11
Synonym

Ziprasidone-5-[2-[4-(1,2-Benzisothiazol-3-yl)-1-piperazinyl]ethyl]-6-chloro-1,3-dihydro-2H-indol-2-one

 Ziprasidone-IMP-D-[3,3`-Bi-2H-indole]-2,2`-dione,5,5`-bis[2-[4-(1,2-benzisothiazol-3-yl)-1-piperazinyl]ethyl]-6,6`-dichloro-1,1`,3,3`-tetrahydro-3-hydroxy-

Ziprasidone-IMP-E-3-(1,2-Benzisothiazol-3-yl)-5-[2-[4-(1,2-benzisothiazol-3yl)-1-piperazinyl]ethyl]-6-chloro-1,3-dihydro-2H-indol-2-one

slide_1