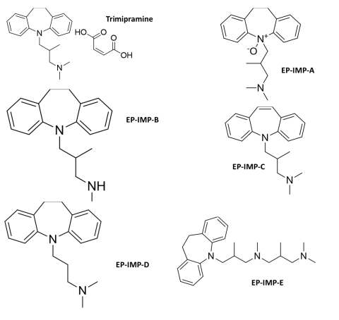
Category
CAS Number
14171-70-1
Molecular Formula
C20H26N2O
Molecular Weight
310.43
Synonym

5-[3-(Dimethylamino)-2-methylpropyl]-10,11-dihydro-5H-dibenz[b,f]azepine N-Oxide; (2RS)-3-(10,11-Dihydro-5H-dibenzo-[b,f]azepin-5-yl)-N,N,2-trimethylpropan-1-amineN-oxide; 10,11-Dihydro-N,N,β-trimethyl-5H-dibenz[b,f]azepine-5-propanamine N-Oxide

Slide 1.GIF