Category
CAS Number
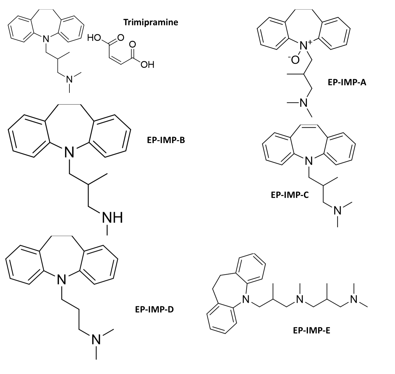
Trimipramine STD-521-78-8;739-71-9(Free base): IMP-A-14171-70-1: IMP-B-2293-21-2;10464-24-1(HCl Salt): IMP-C-315-69-5: IMP-D-50-49-7: IMP-E-2724839-84-1
Molecular Formula
Trimipramine STD-C24H30N2O4: IMP-A-C20H26N2O: IMP-B-C19H24N2: IMP-C-C20H24N2: IMP-D-C19H24N2: IMP-E-C25H37N3
Molecular Weight
Trimipramine STD-410.51: IMP-A-310.43: IMP-B-280.42: IMP-C-292.4: IMP-D-280.4: IMP-E-379.58
Synonym

Trimipramine STD-5-[3-(Dimethylamino)-2-methylpropyl]-10,11-dihydro-5H-dibenz[b,f]azepine maleate;10,11-Dihydro-N,N,β-trimethyl-5H-dibenz[b,f]azepine-5-propanamine (2Z)-2-butenedioate; Trimipramine Maleate; Surmontil Maleate

Trimipramine-IMP-A-5-[3-(Dimethylamino)-2-methylpropyl]-10,11-dihydro-5H-dibenz[b,f]azepine N-Oxide

Trimipramine-IMP-B-(2RS)-3-(10,11-dihydro-5H-dibenzo[b,f]azepin-5-yl)-N,2dimethylpropan-1-amine

Trimipramine-IMP-C-(2RS)-3-(5H-dibenzo[b,f]azepin-5-yl)-N,N,2-trimethylpropan-1-amine

Trimipramine-IMP-D-(2RS )-3-(10,11-Dihydro-5H -dibenzo[b,f ]azepin-5-yl)-N, N-dimethylpropan-1-amine

Trimipramine-IMP-E-N-[3-(10,11-dihydro-5H-dibenzo[b,f]azepin-5-yl)-2-methylpropyl]-N,N′,N′,2-tetramethylpropane-1,3-diamine
 

Slide 1.GIF