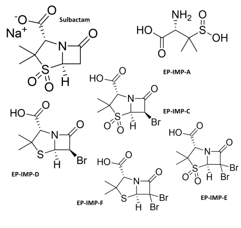
Category
CAS Number
75527-87-6
Molecular Formula
C8H10BrNO5S
Molecular Weight
312.14
Synonym

(2S,5R,6R)-6-Bromo-3,3-dimethyl-7-oxo-4-thia-1-azabicyclo[3.2.0]heptane-2-carboxylic acid 4,4-dioxide; (2S,5R,6R)-6-bromo-3,3-dimethyl-4,4,7-trioxo-4lambda6-thia-1-azabicyclo[3.2.0]heptane-2-carboxylic acid; Brobactam S,S-Dioxide; 6-Bromopenicillanic acid sulfone (USP)

Slide 1.GIF