Category
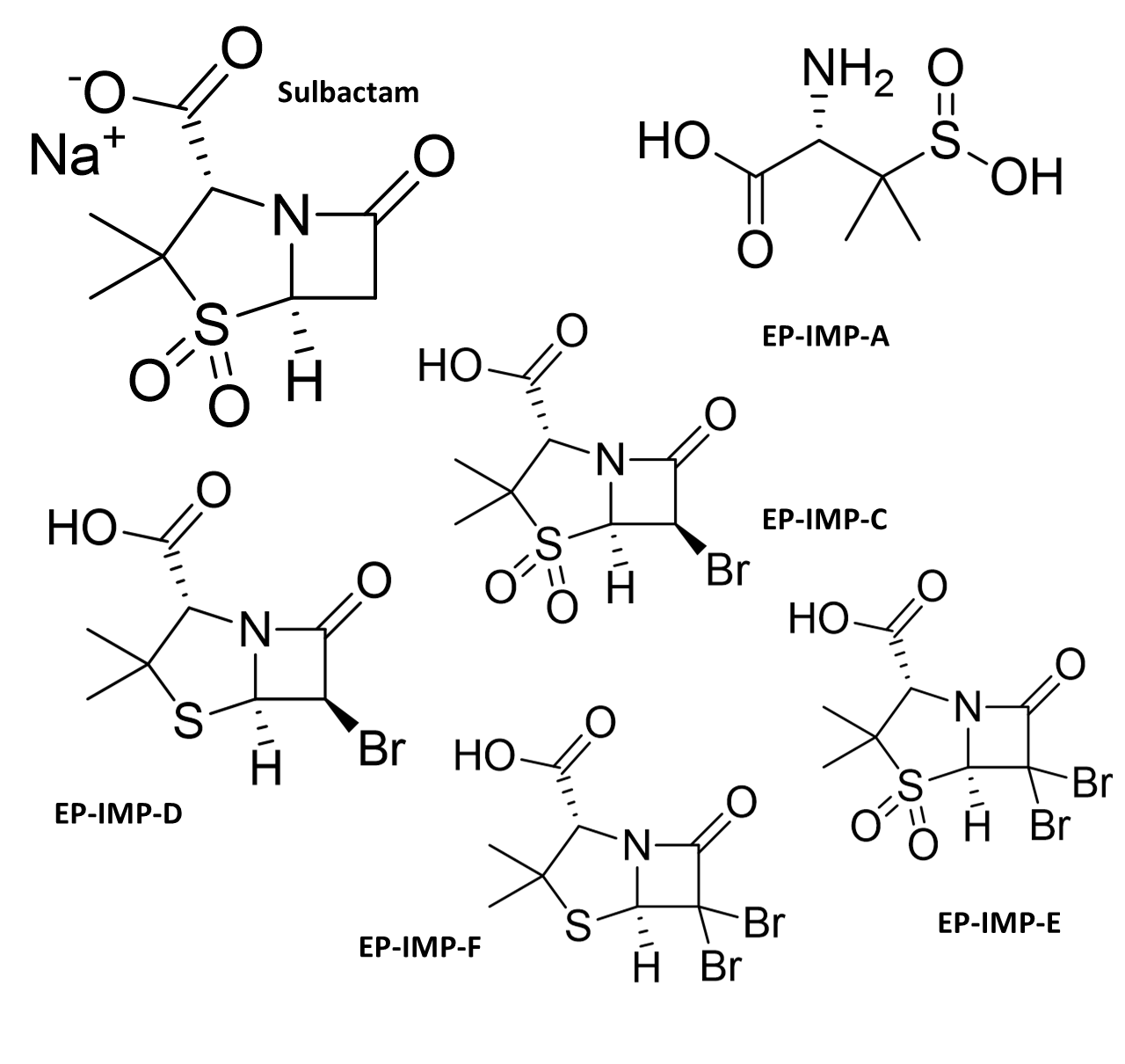
CAS Number
Sulbactam STD-69388-84-7(Na Salt); 68373-14-8(Freebase): IMP-A-23315-18-6: IMP-C-75527-87-6: IMP-D-26631-90-3: IMP-E-76646-91-8: IMP-F-24158-88-1
Molecular Formula
Sulbactam STD-C8H10NNaO5S: IMP-A-C5H11NO4S: IMP-C-C8H10BrNO5S: IMP-D-C8H10BrNO3S: IMP-E-C8H9Br2NO5S: IMP-F-C8H9Br2NO3S
Molecular Weight
Sulbactam STD-255.22: IMP-A-181.21: IMP-C-312.14: IMP-D-280.14: IMP-E-391.03: IMP-F-359.04
Synonym

Sulbactam STD-sodium (2S,5R)-3,3-dimethyl-4,4,7-trioxo-4lambda6-thia-1-azabicyclo[3.2.0]heptane-2-carboxylate; (2S,5R)-3,3-Dimethyl-7-oxo-4-thia-1-azabicyclo[3.2.0]heptane-2-carboxylic Acid 4,4-Dioxide Sodium Salt; Penicillanic Acid 1,1-Dioxide Sodium Salt; Sodium 1,1-Dioxypenicillanate; Sodium Penicillanate 1,1-Dioxide; Sodium Sulbactam; Sulbactam Sodium; Sulbactam Sodium Salt; Unasyn IM; 4-Thia-1-azabicyclo[3.2.0]heptane-2-carboxylic acid, 3,3-dimethyl-7-oxo-, 4,4-dioxide, sodium salt, (2S-cis)-; Sodium (2S,5R)-3,3-dimethyl-7-oxo-4-thia-1-azabicyclo[3.2.0]heptane-2-carboxylate 4,4-dioxide (USP)

Sulbactam-IMP-A- (2S)-2-amino-3-methyl-3-sulfinobutanoic acid

Sulbactam-IMP-C-(2S,5R,6R)-6-Bromo-3,3-dimethyl-7-oxo-4-thia-1-azabicyclo[3.2.0]heptane-2-carboxylic acid 4,4-dioxide:    Sulbactam-IMP-D-(2S,5R,6R)-6-bromo-3,3-dimethyl-7-oxo-4-thia1-azabicyclo[3.2.0]heptane-2-carboxylic acid

Sulbactam-IMP-E- (2S,5R)-6,6-dibromo-3,3-dimethyl-7-oxo-4-thia-1-azabicyclo[3.2.0]heptane-2-carboxylic acid 4,4-dioxide:    

Sulbactam-IMP-F-(2S,5R)-6,6-dibromo-3,3-dimethyl-7-oxo-4-thia-1-azabicyclo[3.2.0]heptane-2-carboxylic acid

Slide 1.GIF