Piroxicam, a nonsteroidal anti-inflammatory drug (NSAID), was developed in the 1970s and is used to treat conditions such as osteoarthritis, rheumatoid arthritis, and other inflammatory musculoskeletal disorders. Its history is marked by its long-acting pain-relieving and anti-inflammatory effects, which made it a useful option in chronic pain management. Piroxicam works by inhibiting cyclooxygenase (COX) enzymes, particularly COX-1 and COX-2, which reduces the production of prostaglandins responsible for pain, inflammation, and fever. This helps relieve joint stiffness, swelling, and pain, improving mobility and quality of life in patients with chronic inflammatory conditions.

BRAND NAMES

  • Feldene (most widely known original brand) 

  • Brexin (a modified formulation, piroxicam beta-cyclodextrin, designed for faster absorption) 

  • Dolonex (used in various countries, including parts of Asia and Europe) 

  • Feldene Gel (topical form for localized pain relief)

MECHANISM OF ACTION

Piroxicam is a nonsteroidal anti-inflammatory drug (NSAID) that works by non-selectively inhibiting cyclooxygenase (COX-1 and COX-2) enzymes, which reduces the synthesis of prostaglandins. Since prostaglandins are responsible for pain, inflammation, swelling, and fever, their reduction leads to analgesic, anti-inflammatory, and mild antipyretic effects.

PHARMACOKINETICS

Absorption

Piroxicam is well absorbed from the gastrointestinal tract after oral administration, with high bioavailability (about 80–100%). Peak plasma concentrations are usually reached within 3 to 5 hours. Food may slightly delay the rate of absorption but does not significantly affect the extent of absorption.

Distribution

Piroxicam is extensively bound to plasma proteins, mainly albumin, with about 99% protein binding. It is widely distributed in body tissues and synovial fluid, where it reaches therapeutic concentrations that contribute to its anti-inflammatory effects in joints.

Metabolism

Piroxicam is primarily metabolized in the liver through cytochrome P450 enzymes, mainly CYP2C9. It undergoes hydroxylation and conjugation reactions to form inactive metabolites. These metabolites are then further processed before elimination. Genetic variations or drugs that inhibit CYP2C9 can affect its metabolism and increase the risk of toxicity.

Elimination

Piroxicam and its metabolites are mainly eliminated through the kidneys in urine, with a smaller portion excreted in feces via bile. It has a long elimination half-life of about 30 to 50 hours, allowing once-daily dosing. Because of its slow clearance, the drug may accumulate in the body with prolonged use, especially in patients with renal or hepatic impairment.

PHARMACODYNAMICS

Piroxicam produces its therapeutic effects by inhibiting cyclooxygenase (COX-1 and COX-2) enzymes, leading to decreased synthesis of prostaglandins, which are key mediators of pain, inflammation, swelling, and fever. This results in anti-inflammatory, analgesic, and mild antipyretic actions. In addition, by reducing prostaglandins in inflamed tissues and joints, it helps improve mobility and decrease stiffness in chronic inflammatory conditions such as arthritis. However, inhibition of COX-1 can also reduce protective gastric prostaglandins, contributing to gastrointestinal side effects.

ADMINISTRATION

Piroxicam is administered mainly orally as tablets or capsules, usually once daily due to its long half-life. It should be taken with food or milk to reduce gastrointestinal irritation. It is also available in topical gel form for localized musculoskeletal pain and, less commonly, as an injectable formulation in some settings.

DOSAGE AND STRENGTH

Piroxicam is commonly available in oral doses of 10 mg and 20 mg capsules or tablets, with 20 mg once daily being the usual maintenance dose for conditions like arthritis. Lower doses may be used initially or in sensitive patients. Topical gel formulations typically contain 0.5% to 1% piroxicam, applied to the affected area 2–3 times daily. Dosage should always be adjusted based on patient response and tolerance.

DRUG INTERACTIONS

Piroxicam can increase the risk of bleeding when used with anticoagulants, antiplatelet drugs, or other NSAIDs. It may reduce the effectiveness of antihypertensive medicines and increase kidney-related side effects. Drugs that inhibit CYP2C9 can raise piroxicam levels, while it may also increase toxicity of lithium and methotrexate.

FOOD INTERACTIONS

Piroxicam does not have major clinically significant food interactions, but taking it with food or milk is recommended to reduce gastric irritation. Alcohol should be avoided or limited, as it can increase the risk of stomach bleeding and ulcer formation when combined with piroxicam.

CONTRAINDICATIONS

Piroxicam is contraindicated in patients with known hypersensitivity to the drug or other NSAIDs, including those with a history of aspirin-induced asthma, urticaria, or allergic reactions. It should not be used in patients with active peptic ulcer disease or gastrointestinal bleeding. It is also contraindicated in severe renal or hepatic impairment, and in the perioperative period of coronary artery bypass graft (CABG) surgery due to increased cardiovascular risk.

SIDE EFFECTS

  • Abdominal pain, dyspepsia, heartburn 

  • Diarrhea or constipation 

  • Headache, dizziness 

  • Fluid retention, edema 

  • Peptic ulcer, gastrointestinal bleeding 

  • Renal impairment 

  • Rash or allergic reactions

OVER DOSAGE

Overdose of piroxicam may lead to symptoms such as nausea, vomiting, abdominal pain, drowsiness, dizziness, and in severe cases, gastrointestinal bleeding, renal failure, metabolic acidosis, or coma. There is no specific antidote. Management is mainly supportive, including gastric lavage (if early), activated charcoal, and symptomatic treatment.

TOXICITY

Piroxicam toxicity is mainly related to prolonged use or overdose and is associated with gastrointestinal, renal, hepatic, and cardiovascular effects. It can cause serious gastrointestinal toxicity such as ulceration and bleeding due to COX-1 inhibition. Renal toxicity may occur through reduced renal prostaglandins, leading to decreased kidney perfusion and possible acute kidney injury.

Image
slide.1
CAS Number
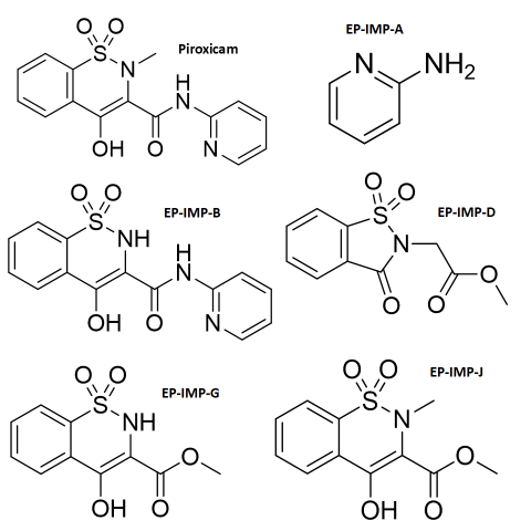
Piroxicam STD-36322-90-4: IMP-A-504-29-0: IMP-B-65897-46-3: IMP-D-6639-62-9: IMP-G-35511-14-9: IMP-J-35511-15-0
Alternate CAS Number
Piroxicam IMP-G-2767988-85-0(Monohydrate Salt)