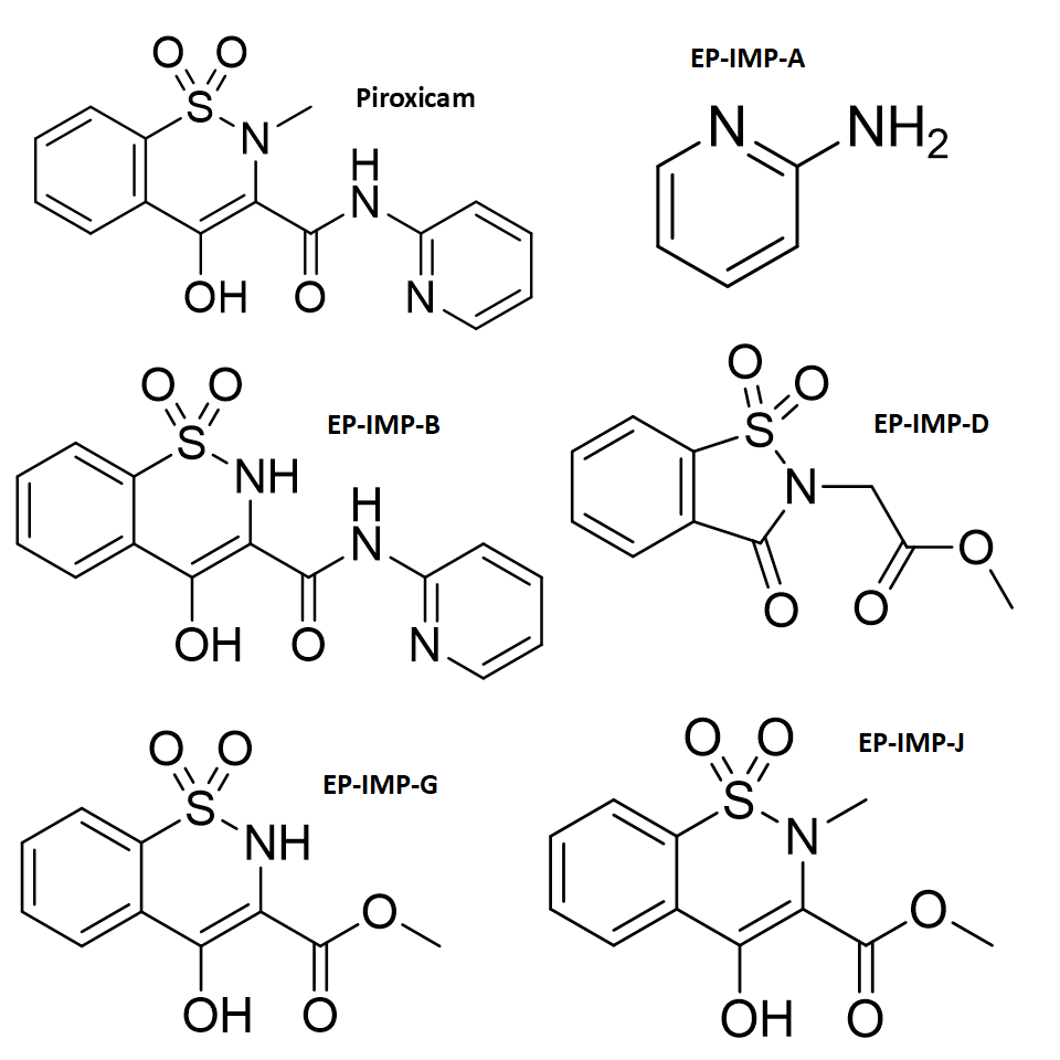
Category
CAS Number
Piroxicam STD-36322-90-4: IMP-A-504-29-0: IMP-B-65897-46-3: IMP-D-6639-62-9: IMP-G-35511-14-9: IMP-J-35511-15-0
Alternate CAS Number
Piroxicam IMP-G-2767988-85-0(Monohydrate Salt)
Molecular Formula
Piroxicam STD-C15H13N3O4S: IMP-A-C5H6N2: IMP-B-C14H11N3O4S: IMP-D-C10H9NO5S: IMP-G-C10H9NO5S: IMP-J-C11H11NO5S
Molecular Weight
Piroxicam STD-331.35: IMP-A-94.11: IMP-B-317.32: IMP-D-255.25: IMP-G-255.25: IMP-J-269.27
Synonym

Piroxicam STD-4-hydroxy-2-methyl-1,1-dioxo-N-pyridin-2-yl-1lambda6,2-benzothiazine-3-carboxamide; 4-Hydroxy-2-methyl-N-2-pyridinyl-2H-1,2-benzothiazine-3-carboxamide 1,1-Dioxide; Artroxicam; Baxo; Bruxicam; CHF 1251; CP 16171; Caliment; Roxicam; Roxiden; Sasulen; Solocalm; 2H-1,2-Benzothiazine-3-carboxamide, 4-hydroxy-2-methyl-N-2-pyridinyl-,1,1-dioxide; 4-Hydroxy-2-methyl-N-2-pyridyl-2H -1,2-benzothiazine-3-carboxamide 1,1-dioxide (USP)

Piroxicam-EP-Impurity-A-Pyridin-2-amine

Piroxicam-EP-Impurity-B-4-hydroxy-N-(pyridin-2-yl)-2H-1,2-benzothiazine-3-carboxamide 1,1-dioxide

Piroxicam-EP-Impurity-D-methyl 2-(1,1,3-trioxo-1,2-benzothiazol-2-yl)acetate

Piroxicam-EP-Impurity-G-methyl 4-hydroxy-2H-1,2-benzothiazine-3-carboxylate 1,1-dioxide

Piroxicam-EP-Impurity-J-methyl 4-hydroxy-2-methyl-2H-1,2-benzothiazine-3-carboxylate 1,1-dioxide

slide.1