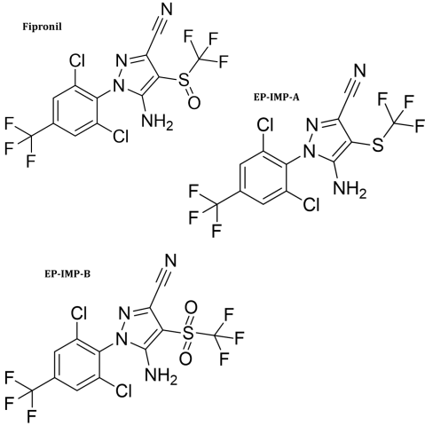
Fipronil is a broad-spectrum phenylpyrazole insecticide widely used in agriculture and veterinary medicine to control pests such as fleas, ticks, termites, and ants by blocking GABA-gated chloride channels in insects, causing paralysis and death while being relatively safe for mammals. Developed in the late 1980s to provide a novel mode of action and overcome resistance to older insecticides like organophosphates and carbamates, it gained global acceptance for its high potency, long-lasting activity, and versatility in formulations including sprays, baits, granules, and veterinary spot-on treatments, making it a key tool in modern pest and parasite management.

Image
slide.1