Category
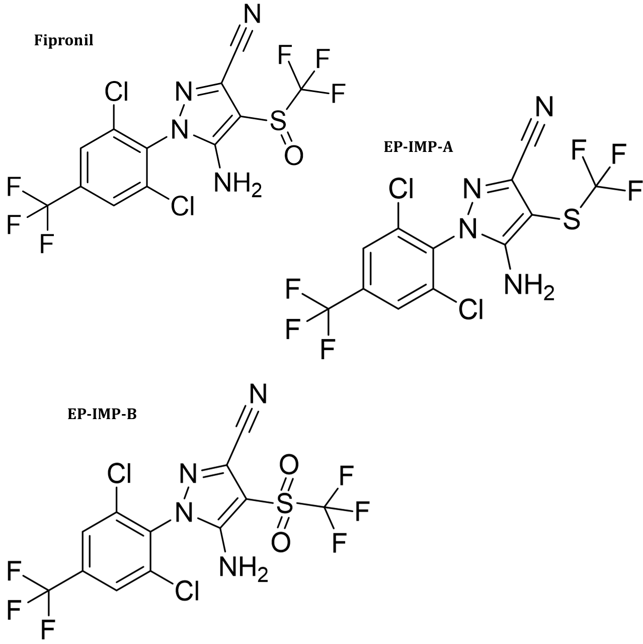
CAS Number
Fipronil STD-120068-37-3: IMP-A-120067-83-6: IMP-B-120068-36-2
Molecular Formula
Fipronil STD-C12H4Cl2F6N4OS: IMP-A-C12H4Cl2F6N4S: IMP-B-C12H4Cl2F6N4O2S
Molecular Weight
Fipronil STD-437.15: IMP-A-421.15: IMP-B-453.15
Synonym

Fipronil STD-5-amino-1-[2,6-dichloro-4-(trifluoromethyl)phenyl]-4-(trifluoromethylsulfinyl)pyrazole-3-carbonitrile; 5-Amino-1-[2,6-dichloro-4-(trifluoromethyl)phenyl]-4-[(trifluoromethyl)sulfinyl]-1H-pyrazole-3-carbonitrile; (+/-)-Fipronil; 1-(2,6-Dichloro-4-trifluoromethylphenyl)-3-cyano-5-amino-4-(trifluoromethylsulfinyl)pyrazole; Fluocyanobenpyrazole;Frontline Spot-on; Frontline Spray; Frontline Top Spot; Goliath gel; Granedo MC; Grenade MC; Maxforce FC; Maxforce FC Select Roach Killer Bait Gel; Over' n Out; Regent; Regent TS; Termidor; Termidor 80WG; TopChoice

Fipronil EP-Impurity-A-5-amino-1-[2,6-dichloro-4-(trifluoromethyl)phenyl]-4-(trifluoromethylsulfanyl)pyrazole-3-carbonitrile; 1-(2,6-Dichloro-4-trifluoromethylphenyl)-3-cyano-5-amino-4-(trifluoromethylthio)pyrazole; 5-Amino-1-(2,6-dichloro-4-trifluoromethylphenyl)-4-trifluoromethylthio-1H-pyrazole- 3-carbonitrile; MB 45950;5-Amino-3-cyano-1-(2,6-dichloro-4-trifluoromethylphenyl)-4-(trifluoromethylthio)pyrazole

Fipronil EP-Impurity-B-5-amino-1-[2,6-dichloro-4-(trifluoromethyl)phenyl]-4-(trifluoromethylsulfonyl)pyrazole-3-carbonitrile; 5-Amino-1-(2,6-dichloro-4-trifluoromethylphenyl)-3-cyano-4-trifluoromethylsulfonylpyrazole;5-Amino-1-[2,6-Dichloro-4-(trifluoromethyl)phenyl]-4-(trifluoromethylsulfonyl)pyrazole-3-carbonitrile; MB 46136; 5-Amino-1-[2,6-dichloro-4-(trifluoromethyl)phenyl]-4-[(trifluoromethyl)sulfonyl]-1H-pyrazole-3-carbonitrile

slide.1