Atropine, a tropane alkaloid drug used to treat various medical conditions, was first isolated in the early 19th century and approved for clinical use in the late 19th and early 20th centuries. Its history is marked by its effectiveness in treating bradycardia, organophosphate poisoning, and as a pre-anesthetic agent, but also by the discovery of dose-dependent side effects that led to careful dosing guidelines. Atropine, an anticholinergic agent used to inhibit parasympathetic activity, has been widely used in emergency medicine and is included in multiple combination therapies for cardiac and ophthalmic applications. Its development featured early pharmacological research on plant extracts and a notable expansion into emergency medicine protocols that allowed systematic monitoring of its therapeutic effects.

BRAND NAMES

Isopto Atropine – primarily used in ophthalmology for pupil dilation 

Atropen – used in emergency medicine, especially for treating organophosphate poisoning and bradycardia 

Sal-Tropine – less common, used in various clinical settings 

AtroPen Auto-Injector – specifically for rapid administration in poisonings

MECHANISM OF ACTION

Atropine blocks muscarinic acetylcholine receptors, inhibiting parasympathetic activity. This increases heart rate, reduces secretions, relaxes smooth muscles, and dilates the pupils. At higher doses, it can affect the central nervous system, causing sedation or excitation. It is commonly used in cardiac emergencies, poisoning, and eye procedures.

PHARMACOKINETICS

Absorption

Atropine is rapidly absorbed after oral, subcutaneous, or intramuscular administration. Following oral intake, peak plasma concentrations are usually reached within 30 to 60 minutes, while parenteral administration produces a faster onset of action. Its absorption can be affected by the formulation, but overall, atropine has good bioavailability, allowing it to achieve therapeutic effects efficiently in both systemic and local treatments.

Distribution

After absorption, atropine is widely distributed throughout the body. It reaches the heart, lungs, gastrointestinal tract, and salivary glands, where it produces its anticholinergic effects. At higher doses, it can cross the blood-brain barrier, affecting the central nervous system, and it also crosses the placenta.

Metabolism

Atropine is primarily metabolized in the liver by hepatic enzymes. A portion of the drug undergoes biotransformation to inactive metabolites, while some is excreted unchanged in the urine. The rate of metabolism can vary depending on age, liver function, and concurrent medications, which may influence the drug’s duration and intensity of action.

Elimination

Atropine is eliminated mainly through the urine, both as unchanged drug and as metabolites. Its half-life in adults is approximately 2 to 4 hours, but this can be longer in infants, elderly patients, or those with impaired kidney function. Renal excretion is the primary route, making kidney function an important factor in the drug’s clearance.

PHARMACODYNAMICS

Atropine is an anticholinergic drug that inhibits muscarinic acetylcholine receptors, reducing parasympathetic nervous system activity. This increases heart rate by blocking vagal stimulation of the sinoatrial node, reduces secretions in the respiratory and gastrointestinal tracts, relaxes smooth muscles, and dilates the pupils while causing cycloplegia. At higher doses, it can affect the central nervous system, leading to sedation, excitation, or delirium. Its effects make it useful in cardiac emergencies, organophosphate poisoning, and eye procedures.

ADMINISTRATION

Atropine can be administered orally, intravenously, intramuscularly, subcutaneously, or as eye drops depending on the clinical need. Oral and parenteral routes are commonly used for systemic effects, such as treating bradycardia or organophosphate poisoning, while ophthalmic drops are used for pupil dilation and cycloplegia during eye examinations. The dosage and route are selected based on the patient’s condition, age, and desired therapeutic effect.

DOSAGE AND STRENGTH

  • Intravenous or intramuscular (adults): 0.5 mg every 3–5 minutes as needed for bradycardia, up to a maximum of 3 mg per dose. 

  • Intravenous or intramuscular (children): 0.02 mg/kg per dose, minimum 0.1 mg and maximum 0.5 mg per dose, repeated as needed. 

  • Oral (adults): 0.4–1 mg up to four times daily for conditions like excessive salivation or gastrointestinal hyperactivity. 

  • Ophthalmic drops: 0.5–1% solution, typically 1–2 drops in the affected eye(s) for pupil dilation.

DRUG INTERACTIONS

Atropine can interact with other anticholinergic drugs, increasing side effects like dry mouth, blurred vision, and urinary retention. Cholinesterase inhibitors may reduce its effectiveness, while antihistamines, antidepressants, and antipsychotics can enhance anticholinergic effects. Combining with beta-blockers or affecting oral drug absorption may require careful monitoring.

FOOD INTERACTIONS

Atropine has no major known food interactions. However, foods that slow gastric emptying or are very high in fiber may slightly delay its absorption when taken orally. Patients are generally advised to take oral atropine with water and follow dosing instructions, but no specific dietary restrictions are usually required.

CONTRAINDICATIONS

Atropine is contraindicated in patients with glaucoma, especially narrow-angle glaucoma, as it can increase intraocular pressure. It should not be used in individuals with myasthenia gravisobstructive gastrointestinal or urinary tract conditions, or severe ulcerative colitis, as it may worsen these conditions. Hypersensitivity to atropine or other belladonna alkaloids is also a contraindication. Caution is advised in elderly patients and those with heart diseaseor kidney impairment.

SIDE EFFECTS

  • Dry mouth

  • Blurred vision

  • Sensitivity to light (photophobia)

  • Increased heart rate (tachycardia)

  • Constipation

  • Urinary retention

  • Confusion or dizziness

  • Headache

  • Nausea

  • Agitation

TOXICITY

Atropine toxicity, also known as anticholinergic poisoning, occurs when excessive doses block muscarinic receptors throughout the body. Symptoms include extreme dry mouth, blurred vision, severe tachycardia, high body temperature, flushing, agitation, hallucinations, delirium, and seizures. In severe cases, it can lead to respiratory failure, coma, or death. Treatment is supportive, with activated charcoal for oral overdose and physostigmine as a specific antidote in life-threatening cases.

Image
Slide_1
CAS Number
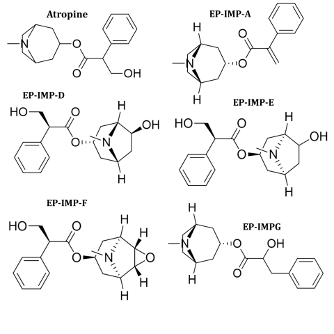
Atropine STD - 51-55-8: IMP - A - 500-55-0 : IMP - D - 55869-99-3 : IMP - E - 949092-65-3 : IMP - F - 51-34-3 : IMP - G - 21956-47-8 :
Alternate CAS Number
5908-99-6 (Atropine Sulfate Monohydrate)
CAS Number
51-55-8
Alternate CAS Number
5908-99-6 (Atropine Sulfate Monohydrate)