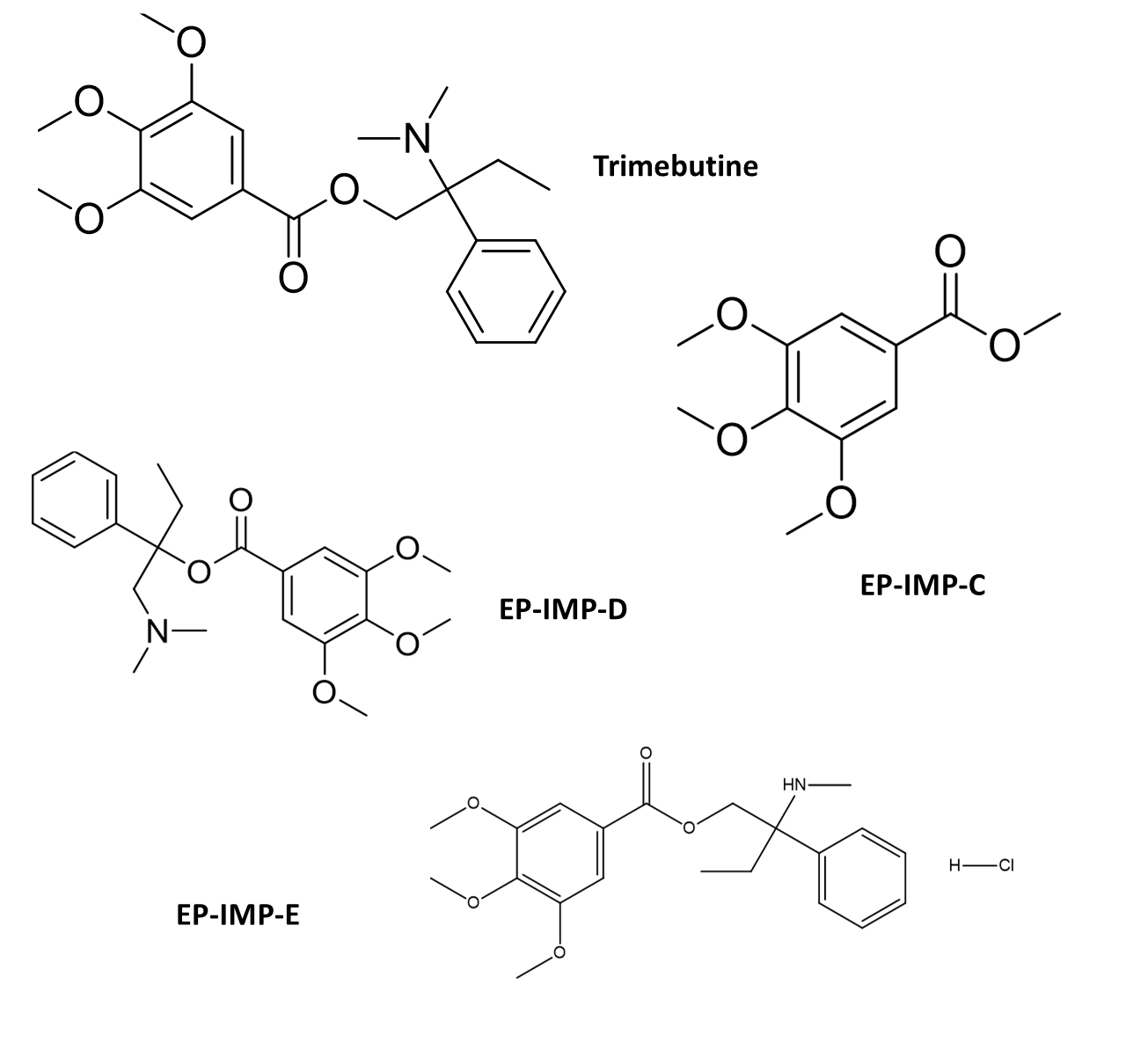
Category
CAS Number
Trimebutine STD-39133-31-8: IMP-C-1916-07-0: IMP-D-92414-09-0: IMP-E-294882-33-0
Molecular Formula
Trimebutine STD-C22H29NO5: IMP-C-C11H14O5: IMP-D-C22H29NO5: IMP-E-C21H28ClNO5
Molecular Weight
Trimebutine STD-387.47: IMP-C-226.23: IMP-D-387.47: IMP-E-409.9
Synonym

Trimebutine STD-2-(Dimethylamino)-2-phenylbutyl 3,4,5-trimethoxybenzoate;3,4,5-Trimethoxybenzoic acid 2-(Dimethylamino)-2-phenylbutyl ester;2-(Dimethylamino)-2-phenylbutyl 3,4,5-Trimethoxybenzoate
3,4,5-Trimethoxybenzoic Acid 2-(Dimethylamino)-2-phenylbutyl Ester

Trimebutine-IMP-C-Methyl 3,4,5-Trimethoxybenzoate

Trimebutine-IMP-D-1-(Dimethylamino)-2-phenylbutan-2-yl 3,4,5-trimethoxybenzoate

Trimebutine-IMP-E-3,4,5-Trimethoxybenzoic Acid 2-(Methylamino)-2-phenylbutyl Ester Hydrochloride

Slide 1.GIF