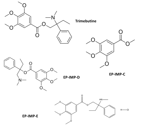
Category
CAS Number
92414-09-0
Molecular Formula
C22H29NO5
Molecular Weight
387.47
Synonym

1-(Dimethylamino)-2-phenylbutan-2-yl 3,4,5-trimethoxybenzoate; (1RS)-1-[(Dimethylamino)methyl]-1-phenylpropyl 3,4,5-trimethoxybenzoate

Slide 1.GIF