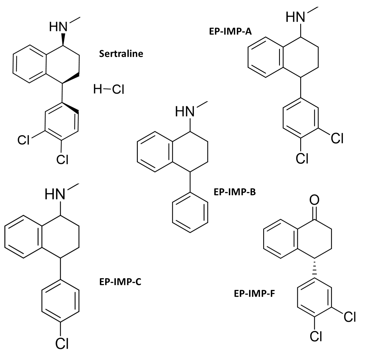
Category
CAS Number
Sertraline STD-79559-97-0;79617-96-2(Freebase);254731-40-3(mandelate salt): IMP-A-79836-45-6;79617-99-5(HCL Salt): IMP-B-52758-03-9;62137-24-0 (Mixture);52758-05-1(HCl Salt): IMP-C-107538-91-0 (Relative stereochemistry);264281-24-5 (racemic);79559-98-1(HC
Molecular Formula
Sertraline STD-C17H18Cl3N: IMP-A-C17H17Cl2N: IMP-B-C17H19N: IMP-C-C17H18ClN: IMP-F-C16H12Cl2O
Molecular Weight
Sertraline STD-342.69: IMP-A-306.23: IMP-B-237.35: IMP-C-271.78: IMP-F-291.17
Synonym

Sertraline STD-Sertraline Hydrochloride; (1S,4S)-4-(3,4-Dichlorophenyl)-1,2,3,4-tetrahydro-N-methyl-1-naphthalenamine; Hydrochloride; 1-Naphthalenamine, 4-(3,4-dichlorophenyl)-1,2,3,4-tetrahydro-N-methyl-, hydrochloride, (1S -cis)-; (1S ,4S )-4-(3,4-Dichlorophenyl)-1,2,3,4-tetrahydro-N-methyl-1-naphthylamine hydrochloride

Sertraline-IMP-A- (1RS,4SR)-4-(3,4-dichlorophenyl)-N-methyl-1,2,3,4-tetrahydronaphthalen-1-amine

Sertraline-IMP-B- (1RS,4RS)-N-methyl-4-phenyl-1,2,3,4-tetrahydronaphthalen-1-amine

Sertraline-IMP-C-(1RS,4RS)-4-(4-chlorophenyl)-N-methyl-1,2,3,4-tetrahydronaphthalen-1-amine

Sertraline-IMP-F-(4R)-4-(3,4-dichlorophenyl)-3,4-dihydronaphthalen1(2H)-one

Slide 1.GIF