Category
CAS Number
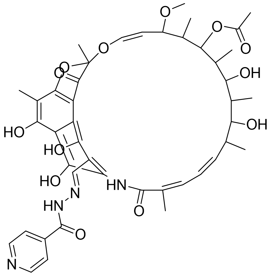
13292-53-0
Molecular Formula
C44H52N4O13
Molecular Weight
844.9 g/mol
Synonym

[(9Z,19Z,21Z)-2,15,17,27,29-pentahydroxy-11-methoxy-3,7,12,14,16,18,22-heptamethyl-6,23-dioxo-26-[(E)-(pyridine-4-carbonylhydrazinylidene)methyl]-8,30-dioxa-24-azatetracyclo[23.3.1.14,7.05,28]triaconta-1(29),2,4,9,19,21,25,27-octaen-13-yl] acetate; 3 formyl rifamycin isonicotinyl hydrazone 

slide.1