Category
CAS Number
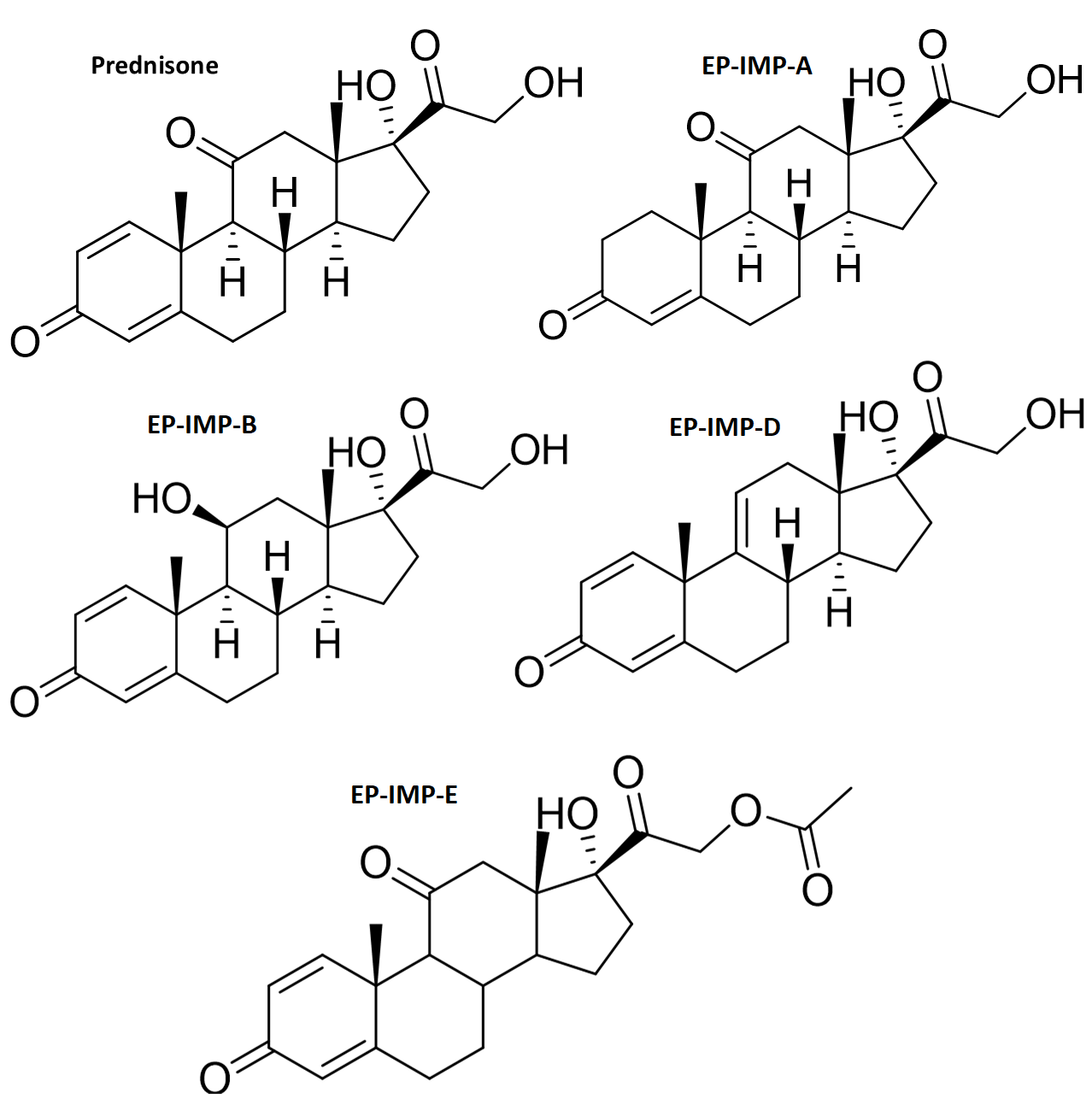
Prednisone STD-53-03-2: IMP-A-53-06-5: IMP-B-50-24-8: IMP-D-10184-69-7: IMP-E-125-10-0
Molecular Formula
Prednisone STD-C21H26O5: IMP-A-C21H28O5: IMP-B-C21H28O5: IMP-D-C21H26O4: IMP-E-C23H28O6
Molecular Weight
Prednisone STD-358.43: IMP-A-360.44: IMP-B-360.44: IMP-D-342.43: IMP-E-400.46
Synonym

Prednisone STD-17,21-Dihydroxypregna-1,4-diene-3,11,20-trione; (8S,9S,10R,13S,14S,17R)-17-hydroxy-17-(2-hydroxyacetyl)-10,13-dimethyl-6,7,8,9,12,14,15,16-octahydrocyclopenta[a]phenanthrene-3,11-dione; 1,2-Dehydrocortisone; 1,4-Pregnadiene-17α,21-diol-3,11,20-trione; Adasone; Ancortone; Apo-Prednisone; Bicortone; Prednicorm; Prednicort; Retrocortine; Sone; Ultracorten; Δ1-Dehydrocortisone; Pregna-1,4-diene-3,11,20-trione, 17,21-dihydroxy; 17,21-Dihydroxypregna-1,4-diene-3,11,20-trione (USP)

Prednisone-EP-Impurity-A- 17,21-dihydroxypregn-4-ene-3,11,20-trione

Prednisone-EP-Impurity-B-11beta,17,21-trihydroxypregna-1,4-diene-3,20-dione

Prednisone-EP-Impurity-D-17,21-dihydroxypregna-1,4,9(11)-triene-3,20-dione

Prednisone-EP-Impurity-E- 17-hydroxy-3,11,20-trioxopregna-1,4-dien-21-yl acetate

slide.1