Category
CAS Number
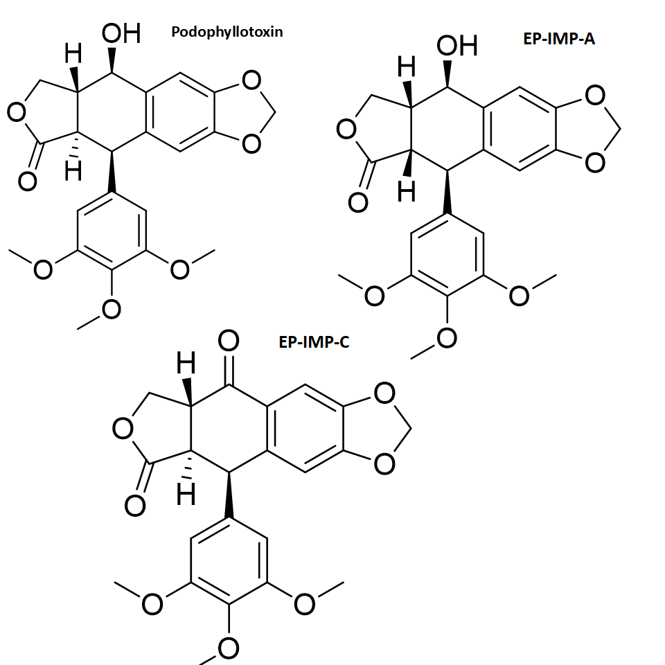
Podophyllotoxin STD-518-28-5: IMP-A-477-47-4: IMP-C-477-49-6
Molecular Formula
Podophyllotoxin STD-C22H22O8: IMP-A-C22H22O8: IMP-C-C22H20O8
Molecular Weight
Podophyllotoxin STD-414.41: IMP-A-414.41: IMP-C-412.39
Synonym

Podophyllotoxin STD-(5R,5aR,8aR,9R)-5-hydroxy-9-(3,4,5-trimethoxyphenyl)-5a,6,8a,9-tetrahydro-5H-[2]benzofuro[5,6-f][1,3]benzodioxol-8-one; (5R,5aR,8aR,9R)-5,8,8a,9-Tetrahydro-9-hydroxy-5-(3,4,5-trimethoxyphenyl)furo[3',4':6,7]naphtho[2,3-d]-1,3-dioxol-6(5aH)-one; (-)-Podophyllotoxin; Condyline

Podophyllotoxin-EP-Impurity-A-(5R,5aS,8aR,9R)-9-hydroxy-5-(3,4,5-trimethoxyphenyl)-5,5a,8a,9-tetrahydrofuro[3',4':6,7]naphtho[2,3-d][1,3]dioxol-6(8H)-one

Podophyllotoxin-EP-Impurity-C-(5aR,8aR,9R)-9-(3,4,5-trimethoxyphenyl)-5a,6,8a,9-tetrahydro-[2]benzofuro[5,6-f][1,3]benzodioxole-5,8-dione

slide.1