Category
CAS Number
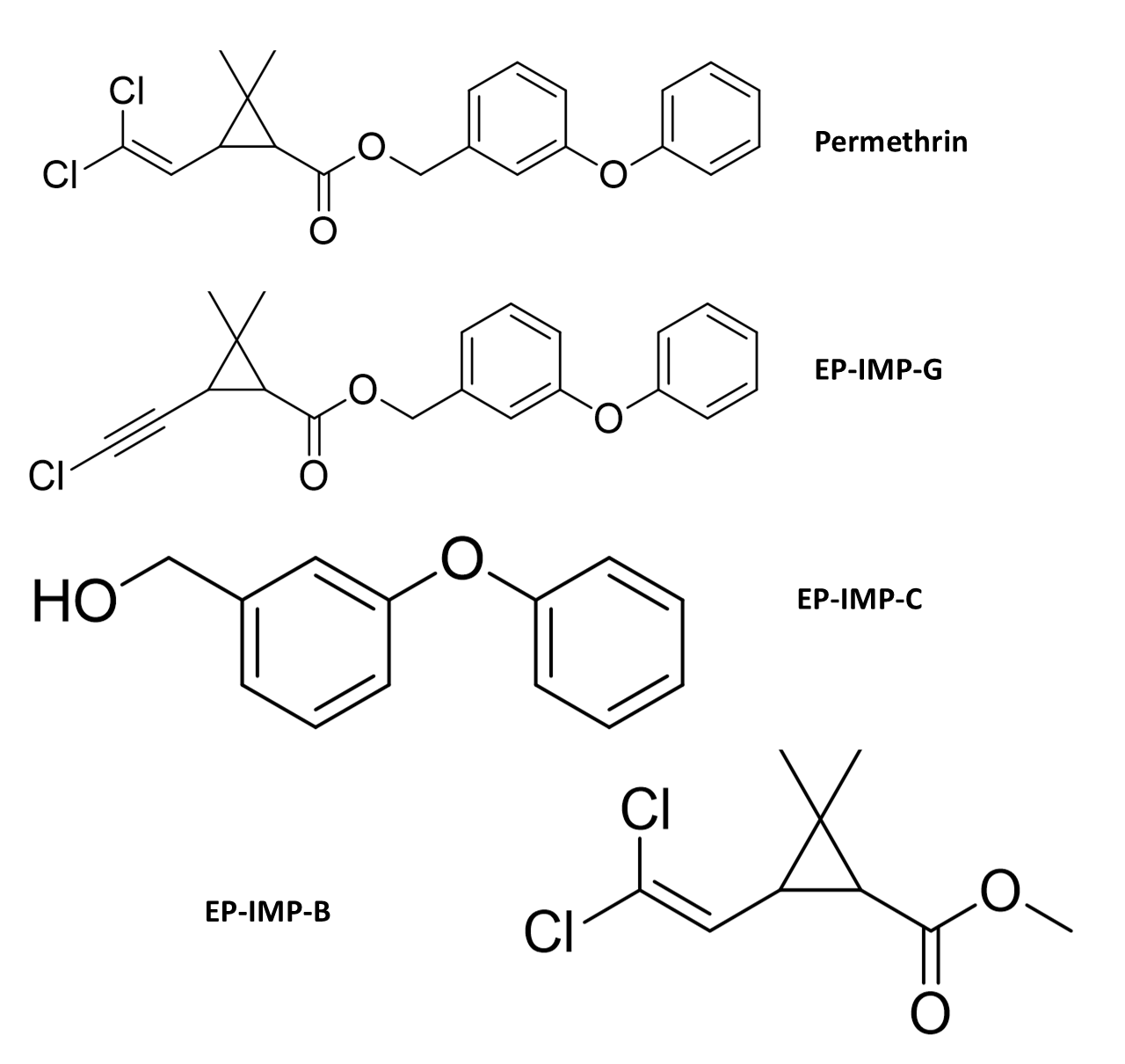
Permethrin STD-52645-53-1: IMP-B-61898-95-1: IMP-C-13826-35-2: IMP-G-64964-54-1; 85576-82-5 (Relative stereochemistry)
Molecular Formula
Permethrin STD-C21H20Cl2O3: IMP-B-C9H12Cl2O2: IMP-C-C13H12O2: IMP-G-C21H19ClO3
Molecular Weight
Permethrin STD-391.29: IMP-B-223.10: IMP-C-200.23: IMP-G-354.83
Synonym

Permethrin STD-(3-phenoxyphenyl)methyl 3-(2,2-dichloroethenyl)-2,2-dimethylcyclopropane-1-carboxylate; Permethrin (25:75); Mixture of the cis and trans isomers of (3-phenoxyphenyl)-methyl (1RS,2RS)-2-(2,2-dichloroethenyl)-3,3-dimethylcyclopropane-1-carboxylate; 3-(2,2-Dichloroethenyl)-2,2-dimethylcyclopropanecarboxylic Acid (3-Phenoxyphenyl)methyl Ester; m-Methoxybenzyl 3-(2,2-dichlorovinyl)-2,2-dimethyl cyclopropanecarboxylate; m-Phenoxybenzyl 3-(2,2-Dichlorovinyl)-2,2- dimethylcyclopropanecarboxylate; Acticin; Adion; Ambush; FMC-33297; NIA-33297; Dichlorophenothrin; Diffusil H; Dragnet; Dragnet FT; Dragon; Imperator; Permanone; Spartan

Permethrin-IMP-B-methyl (1RS,2RS)-2-(2,2-dichloroethenyl)-3,3-
dimethylcyclopropane-1-carboxylate

Permethrin-IMP-C-(3-phenoxyphenyl)methanol

Permethrin-IMP-G-3-(phenoxyphenyl)methyl (1RS,2RS)-2-(chloroethynyl)-3,3-dimethylcyclopropane-1-carboxylate

Slide 1.GIF