Category
CAS Number
66375-96-0
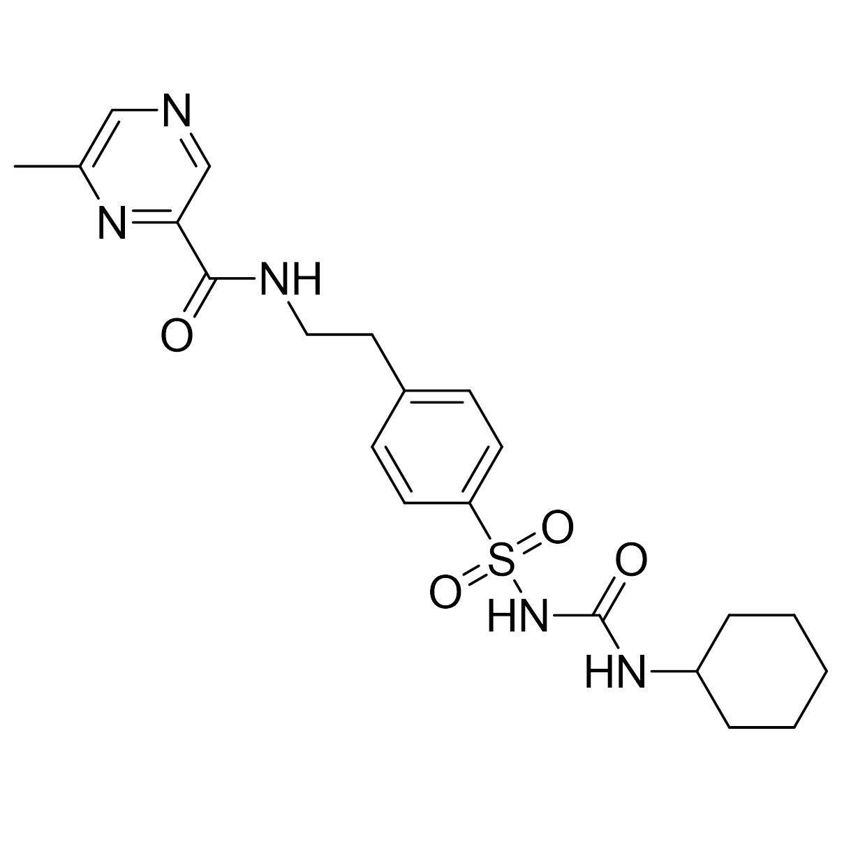
Molecular Formula
C21H27N5O4S
Molecular Weight
445.5 g/mol
Synonym

N-[2-[4-[(Cyclohexylcarbamoyl)sulfamoyl]phenyl]ethyl]-6-methylpyrazine-2-carboxamide ; 1-Cyclohexyl-3-[[4-[2-[[(6-methylpyrazin-2-yl)carbonyl]amino]ethyl]phenyl]sulfonyl]urea (as per USP) ; Glipizide BP Impurity E ; Glipizide 6-Methyl Analog ; Glipizide USP Related Compound C ; 

Slide_1