Category
CAS Number
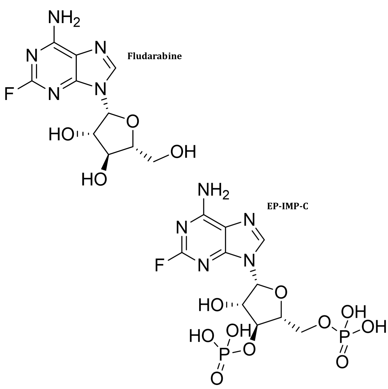
Fludarabine STD-21679-14-1;75607-67-9(Phosphate salt): IMP-C-548774-53-4
Molecular Formula
Fludarabine STD-C10H12FN5O4: IMP-C-C10H14FN5O10P2
Molecular Weight
Fludarabine STD-285.24: IMP-C-445.19
Synonym

Fludarabine STD-(2R,3S,4S,5R)-2-(6-amino-2-fluoropurin-9-yl)-5-(hydroxymethyl)oxolane-3,4-diol; 9-β-D-Arabinofuranosyl-2-fluoro-9H-purin-6-amine; 2-Fluoro-9-β-D-arabinofuranosyladenine;2-Fluoroadenine Arabinoside; (2R,3S,4S,5R)-2-(6-amino-2-fluoro-9H-purin-9-yl)-5-(hydroxymethyl)tetrahydrofuran-3,4-diol; Adenine,9-β-D-arabinofuranosyl-2-fluoro; 9-b-D-Arabinofuranosyl-2-fluoroadenine; NSC 118218; NSC 118218H

Fludarabine EP-Impurity-C-[(2R,3S,4S,5R)-5-(6-amino-2-fluoropurin-9-yl)-4-hydroxy-2-(phosphonooxymethyl)oxolan-3-yl] dihydrogen phosphate; 9-(3,5-Di-O-Phosphono-β-D-arabinofuranosyl)-2-fluoro-9H-purin-6-amine

slide.1