Category
CAS Number
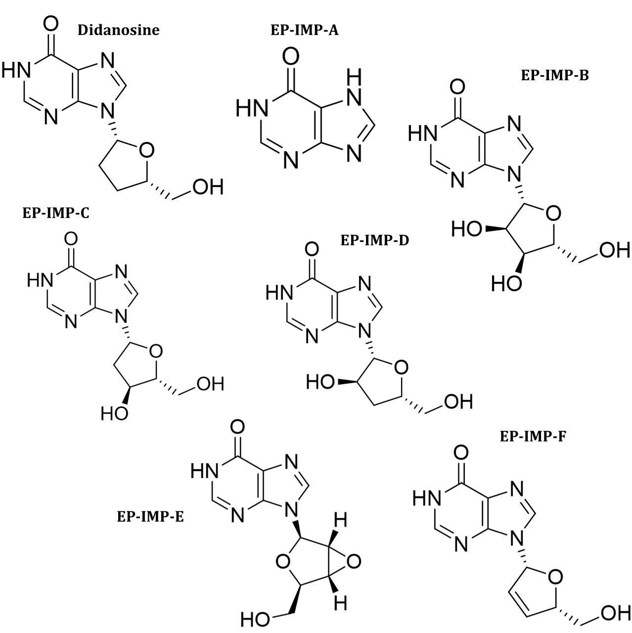
Didanosine STD-69655-05-6: IMP-A-68-94-0: IMP-B-58-63-9: IMP-C-890-38-0: IMP-D-13146-72-0: IMP-E-31766-13-9: IMP-F-42867-68-5
Molecular Formula
Didanosine STD-C10H12N4O3: IMP-A-C5H4N4O: IMP-B-C10H12N4O5: IMP-C-C10H12N4O4: IMP-D-C10H12N4O4: IMP-E-C10H10N4O4: IMP-F-C10H10N4O3
Molecular Weight
Didanosine STD-236.23: IMP-A-136.11: IMP-B-268.23: IMP-C-252.23: IMP-D-252.23: IMP-E-250.21: IMP-F-234.22
Synonym

Didanosine STD-9-[(2R,5S)-5-(hydroxymethyl)oxolan-2-yl]-1H-purin-6-one; 2',3'-Dideoxyinosine;2',3'-Dideoxy-inosine; NSC 612049; DDI; DDINO; Inosine, 2',3'-dideoxy- (USP)

Didanosine EP-Impurity-A-1,7-dihydropurin-6-one; 1,9-Dihydro-6H-purin-6-one; 3H-Purin-6-ol; 6-Hydroxy-1H-purine; 6-Oxopurine;Hypoxanthine enol; NSC 129419; NSC 14665; Purin-6-ol; Sarcine; Sarkin; Sarkine; Hypoxanthine; 6-Hydroxypurine; Didanosine Related Compound A (USP); Azathioprine - Impurity F; Mercaptopurine Monohydrate - Impurity A; Hypoxanthine

Didanosine EP-Impurity-B-9-[(2R,3R,4S,5R)-3,4-dihydroxy-5-(hydroxymethyl)oxolan-2-yl]-1H-purin-6-one; (-)-Inosine; 1,9-Dihydro-9-β-D-ribofuranosyl-6H-purin-6-one; 9-β-D-Ribofuranosylhypoxanthine;Hypoxanthine 9-β-D-ribofuranoside; Hypoxanthine Ribonucleoside; Hypoxanthine Riboside; inosine (Adenosine USP Impurity); 9-ß-d-Ribofuranosylpurine-6(1H)-one (USP)

Didanosine EP-Impurity-C-9-[(2R,4S,5R)-4-hydroxy-5-(hydroxymethyl)oxolan-2-yl]-1H-purin-6-one; 9-((2R,4S,5R)-4-hydroxy-5-(hydroxymethyl)tetrahydrofuran-2-yl)-1,9-dihydro-6H-purin-6-one

Didanosine EP-Impurity-D-9-[(2R,3R,5S)-3-hydroxy-5-(hydroxymethyl)oxolan-2-yl]-1H-purin-6-one; 9-(3-deoxy-β-D-erythro-pentofuranosyl)-1,9-dihydro-6H-purin-6-one (3′-deoxyinosine)

Didanosine EP-Impurity-E-9-[(1R,2R,4R,5R)-4-(hydroxymethyl)-3,6-dioxabicyclo[3.1.0]hexan-2-yl]-1H-purin-6-one; 9-(2,3-anhydro-ß-D-ribofuranosyl)-1,9-dihydro-6H-purin-6-one (2',3'-anhydroinosine)

Didanosine EP-Impurity-F-9-[(2R,5S)-5-(hydroxymethyl)-2,5-dihydrofuran-2-yl]-1H-purin-6-one; 9-(2,3-dideoxy-β-D-glycero-pent-2-enofuranosyl)-1,9-dihydro-6H-purin-6-one (2′,3′-dideoxy-2′,3′-didehydroinosine)

slide.1