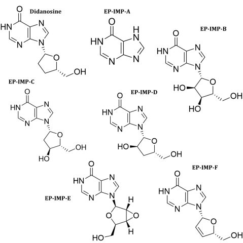
Category
CAS Number
69655-05-6
Molecular Formula
C10H12N4O3
Molecular Weight
236.23 g/mol
Synonym

9-[(2R,5S)-5-(hydroxymethyl)oxolan-2-yl]-1H-purin-6-one; 2',3'-Dideoxyinosine;2',3'-Dideoxy-inosine; NSC 612049; DDI; DDINO; Inosine, 2',3'-dideoxy- (USP)

slide.1