Category
CAS Number
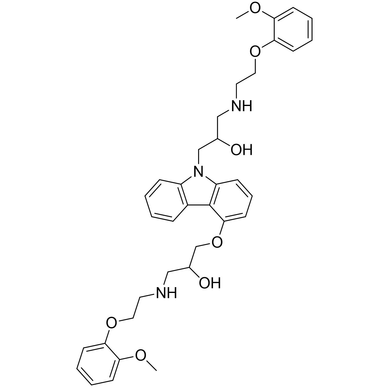
1198090-73-1
Molecular Formula
C36H43N3O7
Molecular Weight
629.74 g/mol
Synonym

1-[4-[2-hydroxy-3-[2-(2-methoxyphenoxy)ethylamino]propoxy]carbazol-9-yl]-3-[2-(2-methoxyphenoxy)ethylamino]propan-2-ol; N-2-Hydroxy-3-[[2-(methoxyphenoxy)ethyl]amine Carvedilol; 1-(4-(2-Hydroxy-3-(2-(2-methoxyphenoxy)ethylamino)propoxy)-9H-carbazol-9-yl)-3-(2-(2-methoxyphenoxy)ethylamino)propan-2-ol;1-[[9-[2-Hydroxy-3-[[2-(2-methoxyphenoxy)ethyl]amino]propyl]-9H-carbazol-4-yl]oxy]-3-[[2-(2-methoxyphenoxy)ethyl]amino]propan-2-ol; Carvedilol Related Compound A

slide.1