Category
CAS Number
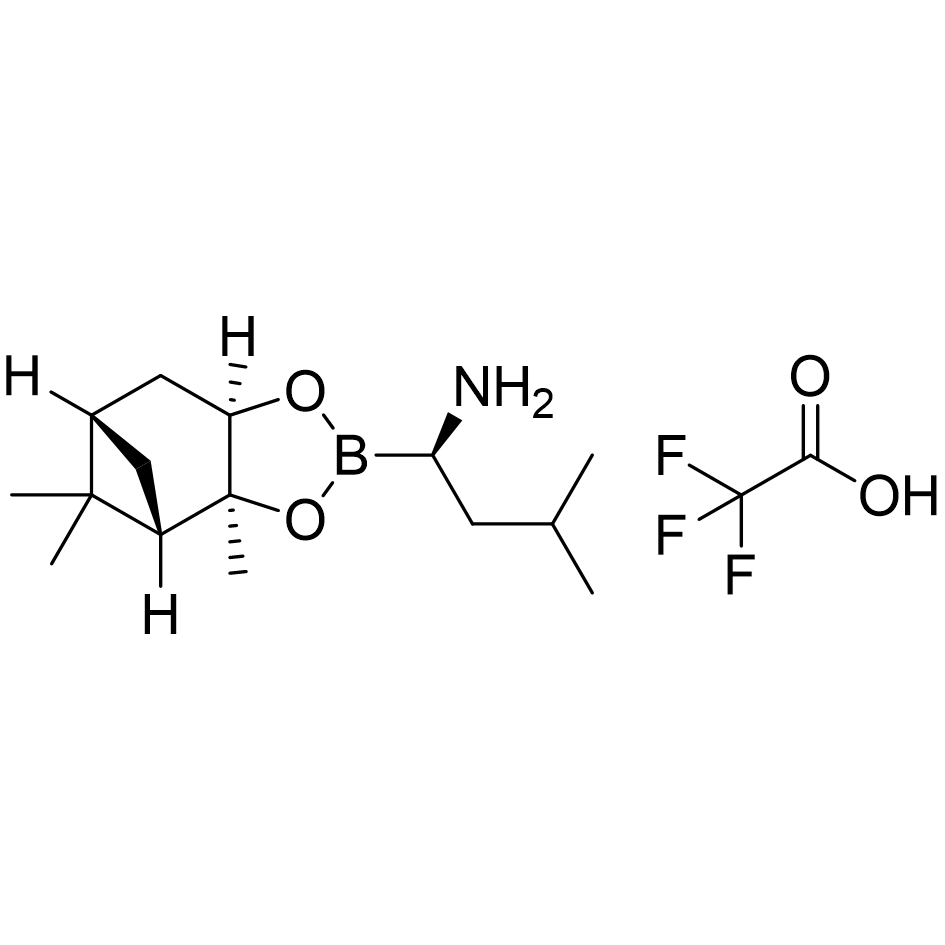
179324-87-9
Alternate CAS Number
179324-86-8 (Free base)
Molecular Formula
C17H29BF3NO4
Molecular Weight
379.23g/mol
Synonym

(1R)-3-methyl-1-[(1S,2S,6R,8S)-2,9,9-trimethyl-3,5-dioxa-4-boratricyclo[6.1.1.02,6]decan-4-yl]butan-1-amine;2,2,2-trifluoroacetic acid; (R)-3-Methyl-1-((3aS,4S,6S,7aR)-3a,5,5-trimethylhexahydro-4,6-methanobenzo[d][1,3,2]dioxaborol-2-yl)butan-1-amine 2,2,2-trifluoroacetate; (αR)-(1S,2S,3R,5S)-Pinanediol-1-amino-3-methylbutane-1-boronate Trifluoroacetic Acid Salt; (αR,3aS,4S,6S,7aR)-Hexahydro-3a,5,5-trimethyl-α-(2-methylpropyl)-4,6-methano-1,3,2-benzodioxaborole-2-methanamine 2,2,2-Trifluoroacetic Acid Salt; (1R)-(S)-Pinanediol-1-ammoniumtrifluoroacetate-3-methylbutane-1-boronate Trifluoroacetic Acid Salt; 4,6-Methano-1,3,2-benzodioxaborole-2-methanamine,hexahydro-3a,5,5-trimethyl-alpha-(2-methylpropyl)-,(alphaR,3aS,4S,6S,7aR)-,trifluoroacetate

slide.1