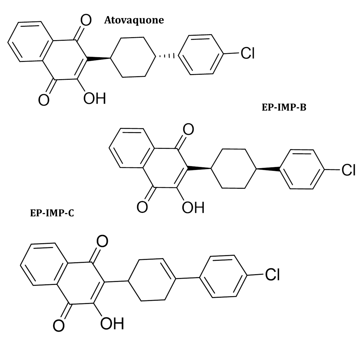
Category
CAS Number
Atovaquone STD - 95233-18-4 : IMP - B-137732-39-9: IMP - C -1809464-27-4:
Molecular Formula
Atovaquone STD - C22H19ClO3 : IMP - B-C22H19ClO3: IMP - C-C22H17ClO3 :
Molecular Weight
Atovaquone STD - 366.8 g/mol : IMP - B-366.84 g/mol : IMP - C-364.83 g/mol :
Synonym

Atovaquone - 2-[trans-4-(4-Chlorophenyl)cyclohexyl]-3-hydroxynaphthalene-1,4-dione ; 2-((1r,4r)-4-(4-Chlorophenyl)cyclohexyl)-3-hydroxynaphthalene-1,4-dione; 1,4-Naphthalenedione, 2-[4-(4-chlorophenyl)cyclohexyl]-3-hydroxy-, trans (USP);

Atovaquone EP Impurity B-(cis-2-[4-(4-chlorophenyl)cyclohexyl]-3-hydroxy-1,4-naphthoquinone) ; cis-Atovaquone;Atovaquone USP Related Compound A ;2-[cis-4-(4-Chlorophenyl)cyclohexyl]-3-hydroxynaphthalene-1,4-dione; cis-2-[4-(4-Chlorophenyl)cyclohexyl]-3-hydroxy-1,4-naphthalenedione;

Atovaquone EP Impurity C- 2-(4`-Chloro-2,3,4,5-tetrahydro-[1,1`-biphenyl]-4-yl)-3-hydroxynaphthalene-1,4-dione ; 2-[(1RS)-4-(4-chlorophenyl)cyclohex-3-en-1-yl]-3-hydroxynaphthalene-1,4-dione ;Atovaquone;Didehydroatovaquone ;

Slide_1