Category
CAS Number
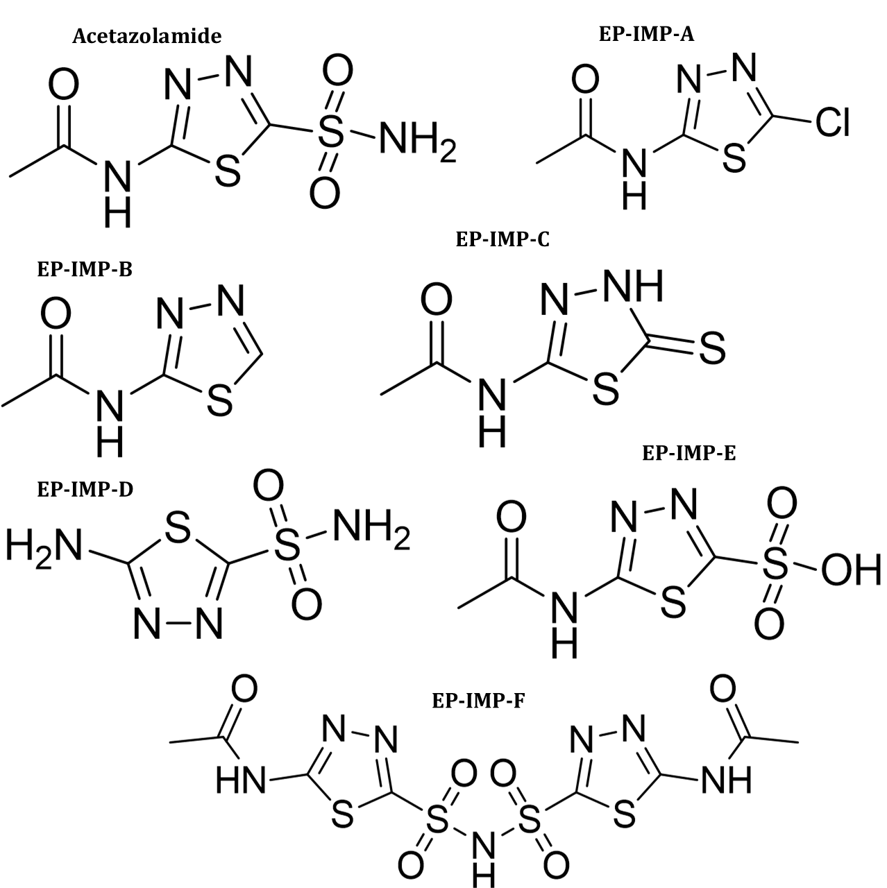
Acetazolamide STD-59-66-5: IMP-A-60320-32-3: IMP-B-5393-55-5: IMP-C-32873-56-6: IMP-D-14949-00-9;120208-98-2(HCl Salt): IMP-E-827026-60-8;2469006-67-3(Potassium Salt): IMP-F-80495-47-2
Molecular Formula
Acetazolamide STD-C4H6N4O3S2: IMP-A-C4H4ClN3OS: IMP-B-C4H5N3OS: IMP-C-C4H5N3OS2: IMP-D-C2H4N4O2S2: IMP-E-C4H5N3O4S2: IMP-F-C8H9N7O6S4
Molecular Weight
Acetazolamide STD-222.25: IMP-A-177.61: IMP-B-143.17: IMP-C-175.23: IMP-D-180.21: IMP-E-223.23: IMP-F-427.44
Synonym

Acetazolamide STD-N-(5-sulfamoyl-1,3,4-thiadiazol-2-yl)acetamide; Acetazolamide - API (IP); Acetamide,N-(5-sulfamoyl-1,3,4-thiadiazol-2-yl); N-[5-(Aminosulfonyl)-1,3,4-thiadiazol-2-yl]acetamide; N-[5-Aminosulfonyl)-1,3,4-thiadiazol-2-yl]acetamide; 5-Acetamido-1,3,4-thiadiazole-2-sulfonamide; N-(5-sulfamoyl-1,3,4-thiadiazol-2-yl)acetamide; Acetamox; Atenezol; Defiltran; Diamox; Didoc (USP)

Acetazolamide EP-Impurity-A-N-(5-chloro-1,3,4-thiadiazol-2-yl)acetamide; 2-(Acetylamino)-5-chloro-1,3,4-thiadiazole;2-Amino-5-acetamido-1,3,4-thiadiazole; Chlorothiadiazole analog; N-(5-Chloro-1,3,4-thiadiazol-2-yl)acetamide (USP)

Acetazolamide EP-Impurity-B-N-(1,3,4-thiadiazol-2-yl)acetamide; 1,3,4-Thiadiazole, 2-acetamido;2-Acetamido-1,3,4-thiadiazole;2-Acetylamino-1,3,4-thiadiazole; Acetamidothiadiazole; N-(1,3,4-Thiadiazol-2-yl)acetamide (USP)

Acetazolamide EP-Impurity-C-N-(2-sulfanylidene-3H-1,3,4-thiadiazol-5-yl)acetamide; 2-Acetamido-5-mercapto-1,3,4-thiadiazole; N-(4,5-Dihydro-5-thioxo-1,3,4-thiadiazol-2-yl)acetamide; 2-Acetylamino-1,3,4-thiadiazoline-2-thione; Mercaptothiadiazole analog; N-(5-Mercapto-1,3,4-thiadiazol-2-yl)acetamide (USP)

Acetazolamide EP-Impurity-D-5-amino-1,3,4-thiadiazole-2-sulfonamide; 2-Amino-1,3,4-thiadazole-5-sulfonamide; L 5343; Tio-ura2-Amino-1,3,4-thiadazole-5-sulfonamide; Desacetyl acetazolamide; 5-Amino-1,3,4-thiadiazole-2-sulfonamide; Acetazolamide related compound D (USP)

Acetazolamide EP-Impurity-E-5-acetamido-1,3,4-thiadiazole-2-sulfonic acid; 5-(Acetylamino)-1,3,4-thiadiazole-2-sulfonic Acid; 2-(Acetylamino)-5-sulfo-1,3,4-thiadiazole; 4-Acetylamino-cyclopenta-1,3-dienesulfonic acid; Acetazolamide acid analog; 5-Acetamido-1,3,4-thiadiazole-2-sulfonic acid; Acetazolamide Related Compound E (USP)

Acetazolamide EP-Impurity-F-N-[5-[(5-acetamido-1,3,4-thiadiazol-2-yl)sulfonylsulfamoyl]-1,3,4-thiadiazol-2-yl]acetamide; N-[5-(([(5-Acetamido-1,3,4-thiadiazol-2- yl)sulfonyl]amino)thio)-1,3,4-thiadiazol-2-yl]acetamide

slide.1