Prasugrel, an antiplatelet medication used to reduce the risk of thrombotic cardiovascular events, was developed in the early 2000s and approved for medical use in the late 2000s. Its history is marked by its effectiveness in preventing blood clots in patients with acute coronary syndrome undergoing percutaneous coronary intervention, but also by the recognition of an increased risk of bleeding, which led to careful patient selection and dosing considerations before prescribing. Prasugrel, a P2Y12 platelet inhibitor, was approved in the United States in 2009 and is commonly used as part of dual antiplatelet therapy with aspirin. Its development included extensive clinical trials evaluating both efficacy and safety, along with post-marketing surveillance to monitor adverse effects.

BRAND NAMES

  • Effient – Original and most widely recognized brand (global) 

  • Efient – Used in some regions

MECHANISM OF ACTION

Prasugrel is an antiplatelet prodrug that requires metabolic activation in the liver to form its active metabolite. This active form selectively and irreversibly inhibits the platelet P2Y12 adenosine diphosphate (ADP) receptor, preventing ADP-mediated activation of platelets. As a result, the downstream activation of the GPIIb/IIIa receptor complex is reduced, which inhibits platelet aggregation. Because the binding is irreversible, the effect persists for the lifespan of the platelet (about 7–10 days). This action helps prevent the formation of arterial thrombi and reduces the risk of cardiovascular events such as myocardial infarction and stroke, especially when used in combination with aspirin as part of dual antiplatelet therapy. 

PHARMACOKINETICS

Absorption 
Prasugrel is rapidly absorbed after oral administration and quickly converted to its active form. Peak levels occur in about 30 minutes, and food has minimal effect on its absorption.

Distribution 
The apparent volume of distribution of the active metabolite of prasugrel is approximately 44–68 L, indicating moderate distribution into body tissues.

Metabolism 
It is a prodrug rapidly converted in the intestine and liver by CYP enzymes (mainly CYP3A4 and CYP2B6) into its active metabolite.

Elimination 

The active metabolite has a short half-life and is eliminated mainly through urine (as inactive metabolites) and to a lesser extent in feces. Its antiplatelet effect lasts for the lifespan of platelets because binding is irreversible.

PHARMACODYNAMICS

Prasugrel is a potent, irreversible P2Y12 receptor inhibitor that prevents ADP-mediated platelet activation and aggregation. It produces rapid, consistent, and strong platelet inhibition compared to some other antiplatelet drugs, leading to reduced thrombus formation and lower risk of cardiovascular events, but with an increased risk of bleeding.

ADMINISTRATION

Prasugrel is given orally. It is usually started with a loading dose (60 mg) followed by a maintenance dose (10 mg once daily). It should be used along with aspirin in patients with acute coronary syndrome undergoing PCI, and taken consistently at the same time each day for best effect.

DOSAGE AND STRENGTH

Prasugrel is available in 10 mg tablets for maintenance therapy and a 60 mg tablet for the initial loading dose. The usual regimen is a 60 mg loading dose followed by 10 mg once daily maintenance dose. In patients weighing less than 60 kg or at higher bleeding risk, a reduced maintenance dose of 5 mg once daily may be used.

DRUG INTERACTIONS

Prasugrel may increase bleeding risk when used with other anticoagulants or antiplatelet drugs such as aspirin, warfarin, heparin, or NSAIDs. Its effect can also be reduced by drugs that affect CYP enzyme activity, although it has fewer clinically significant CYP interactions compared to some other P2Y12 inhibitors.

FOOD INTERACTIONS

Food does not significantly affect the overall absorption or effectiveness of prasugrel. It can be taken with or without food, although a high-fat meal may slightly delay its absorption without changing its antiplatelet effect.

CONTRAINDICATIONS

Prasugrel is contraindicated in patients with active pathological bleeding (such as gastrointestinal or intracranial bleeding) and in those with a history of stroke or transient ischemic attack (TIA). It should also not be used in patients with severe hypersensitivity to the drug or its components.

SIDE EFFECTS 

  • Bleeding (most common)

  • Easy bruising

  • Nosebleeds (epistaxis)

  • Gastrointestinal bleeding

  • Anemia

  • Rash

  • Hypertension

  • Rare: intracranial hemorrhage (serious)

OVERDOSE

  • Main effect: excessive bleeding (most important risk)

  • Symptoms: easy bruising, prolonged bleeding, blood in stool/urine, nosebleeds, or internal hemorrhage

  • Severe cases: gastrointestinal or intracranial bleeding

  • Management: no specific antidote; treatment is supportive

  • May require platelet transfusion if severe bleeding occurs

  • Discontinue drug immediately if overdose is suspected

TOXICITY

The main toxicity of prasugrel is dose-related bleeding, due to excessive inhibition of platelet aggregation. This can lead to prolonged bleeding times, gastrointestinal hemorrhage, and in severe cases, intracranial bleeding, which may be life-threatening. Toxic effects are more likely in patients with low body weight, older age, or those taking other anticoagulants or antiplatelet drugs.

 

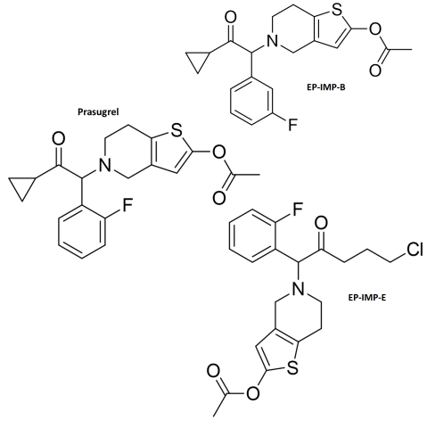
Image
slide.1
CAS Number
Prasugrel STD-150322-43-3; 389574-19-0(HCl Salt): IMP-B-1391194-39-0: IMP-E-1056459-37-0; 1618107-96-2(HCl Salt);1373350-61-8(maleate salt)
CAS Number
150322-43-3
Alternate CAS Number
389574-19-0(HCl Salt)