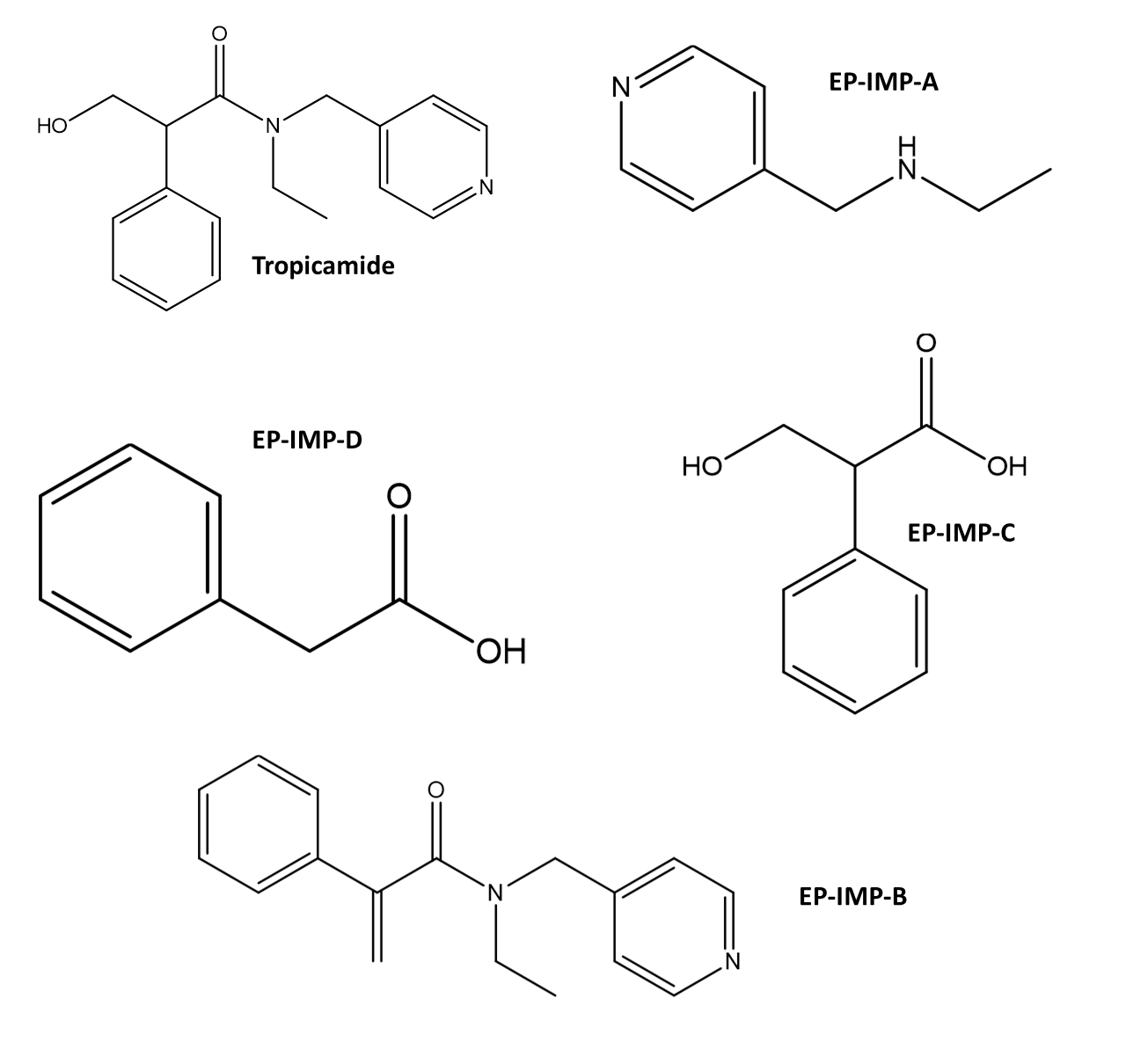
Category
CAS Number
Tropicamide STD-1508-75-4: IMP-A-33403-97-3: IMP-B-57322-50-6: IMP-C-552-63-6: IMP-D-103-82-2
Molecular Formula
Tropicamide STD-C17H20N2O2: IMP-A-C8H12N2: IMP-B-C17H18N2O: IMP-C-C9H10O3: IMP-D-C8H8O2
Molecular Weight
Tropicamide STD-284.35: IMP-A-136.19: IMP-B-266.34: IMP-C-166.17: IMP-D-136.15
Synonym

Tropicamide-N-Ethyl-2-phenyl-N-(4-pyridylmethyl)hydracrylamide; N-Ethyl-α-(hydroxymethyl)-N-(4-pyridinylmethyl)benzeneacetamide; N-Ethyl-N-(γ-picolyl)tropamide

Tropicamide-IMP-A-N-(Pyridin-4-ylmethyl)- ethanamine

Tropicamide-IMP-B-N-Ethyl-2-phenyl-N-(pyridin-4-ylmethyl)propenamide

Tropicamide-IMP-C-3-Hydroxy-2-phenylpropanoic Acid

Tropicamide-IMP-D-Phenylacetic acid

Slide 1.GIF