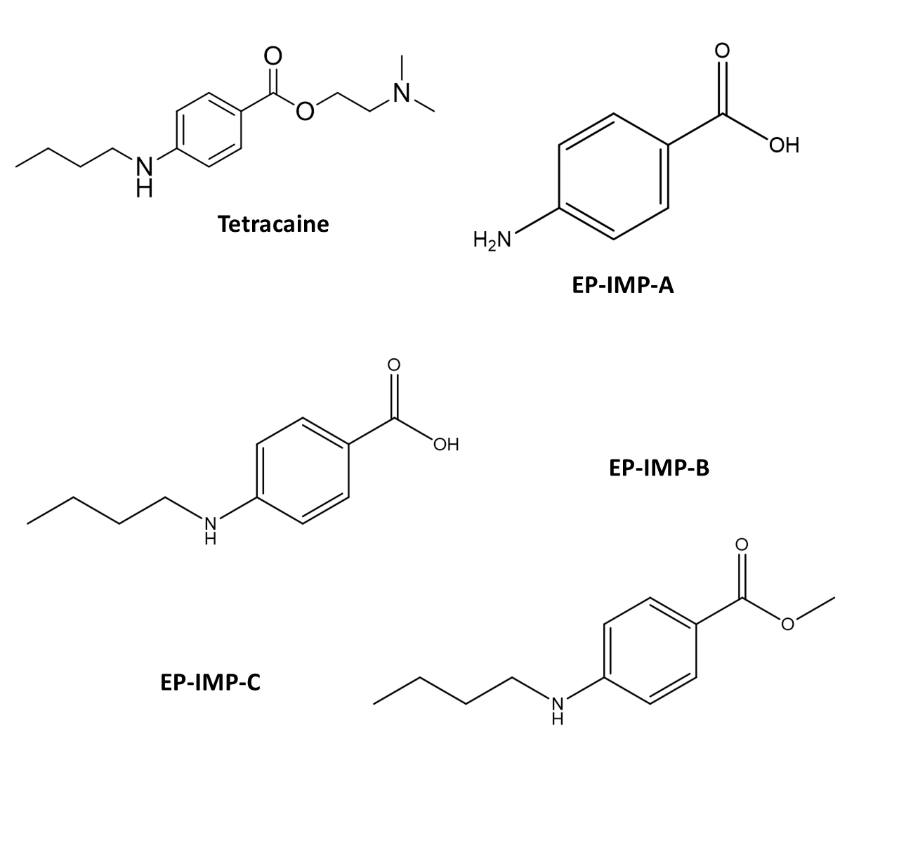
Category
CAS Number
Tetracaine-136-47-0: IMP-A-150-13-0: IMP-B-4740-24-3: IMP-C-71839-12-8
Molecular Formula
Tetracaine-C15H24N2O2: IMP-A-C7H7NO2: IMP-B-C11H15NO2: IMP-C-C12H17NO2
Molecular Weight
Tetracaine-264.363: IMP-A-137.14: IMP-B-193.24: IMP-C-207.3
Synonym

Tetracaine-2-(Dimethylamino)ethyl 4-(butylamino)benzoate

Tetracaine-IMP-A-4-Aminobenzoic acid

Tetracaine-IMP-B-4-(Butylamino)benzoic Acid

IMP-C-Methyl 4-(butylamino)benzoate

Slide 1.GIF