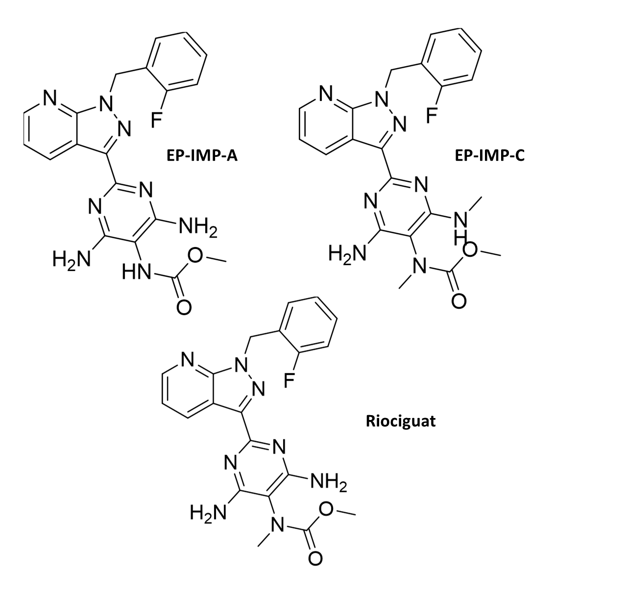
Category
CAS Number
Riociguat STD-625115-55-1: IMP-A-625115-52-8: IMP-C-2920299-23-4
Molecular Formula
Riociguat STD-C20H19FN8O2: IMP-A-C19H17FN8O2: IMP-C-C21H21FN8O2
Molecular Weight
Riociguat STD-422.42: IMP-A-408.4: IMP-C-436.45
Synonym

Riociguat STD-methyl N-[4,6-diamino-2-[1-[(2-fluorophenyl)methyl]pyrazolo[5,4-b]pyridin-3-yl]pyrimidin-5-yl]-N-methylcarbamate; N-[4,6-Diamino-2-[1-[(2-fluorophenyl)methyl]-1H-pyrazolo[3,4-b]pyridin-3-yl]-5-pyrimidinyl]-N-methylcarbamic Acid Methyl Ester; [4,6-Diamino-2-[1-[(2-fluorophenyl)methyl]-1H-pyrazolo[3,4-b]pyridin-3-yl]-5-pyrimidinyl]methylcarbamic Acid Methyl Ester; Methyl (4,6-diamino-2-(1-(2-fluorobenzyl)-1H-pyrazolo[3,4-b]pyridin-3-yl)pyrimidin-5-yl)(methyl)carbamate; Carbamic acid, N-[4,6-diamino-2-[1-[(2-fluorophenyl)methyl]-1H-pyrazolo[3,4-b]pyridin-3-yl]-5-pyrimidinyl]-N-methyl-

Riociguat-IMP-A-methyl N-[4,6-diamino-2-[1-[(2-fluorophenyl)methyl]pyrazolo[5,4-b]pyridin-3-yl]pyrimidin-5-yl]carbamate: Riociguat-IMP-C-methyl N-[4-amino-2-[1-[(2-fluorophenyl)methyl]pyrazolo[5,4-b]pyridin-3-yl]-6-(methylamino)pyrimidin-5-yl]-N-methylcarbamate 

Slide 1.GIF