Category
CAS Number
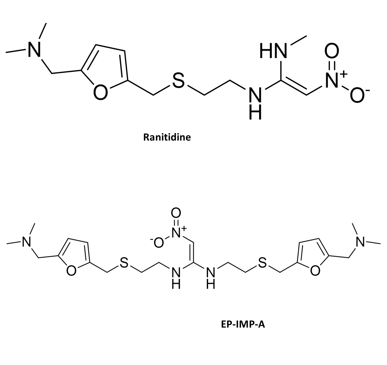
Ranitidine STD-66357-35-5; 66357-59-3(HCl Salt): IMP-A-72126-78-4
Molecular Formula
Ranitidine STD-C13H22N4O3S: IMP-A-C22H35N5O4S2
Molecular Weight
Ranitidine STD-314.40: IMP-A-497.67
Synonym

Ranitidine STD-1,1-Ethenediamine,N-[2-[[[5-[(dimethylamino)methyl]-2-furanyl]methyl]thio]ethyl]-N-methyl-2-nitro- (9CI, ACI); (E)-1-N'-[2-[[5-[(dimethylamino)methyl]furan-2-yl]methylsulfanyl]ethyl]-1-N-methyl-2-nitroethene-1,1-diamine; N-[2-[[[-5-[(Dimethylamino)methyl)]-2-furanyl]methyl]thio]ethyl]-N'-methyl-2-nitro-1,1-ethenediamine

Ranitidine-IMP-A-N,N′-bis[2-[[[5-[(dimethylamino)methyl]furan-2-yl]methyl]sulfanyl]ethyl]-2-nitroeth-1-ene-1,1-diamine

Slide 1.GIF