Category
CAS Number
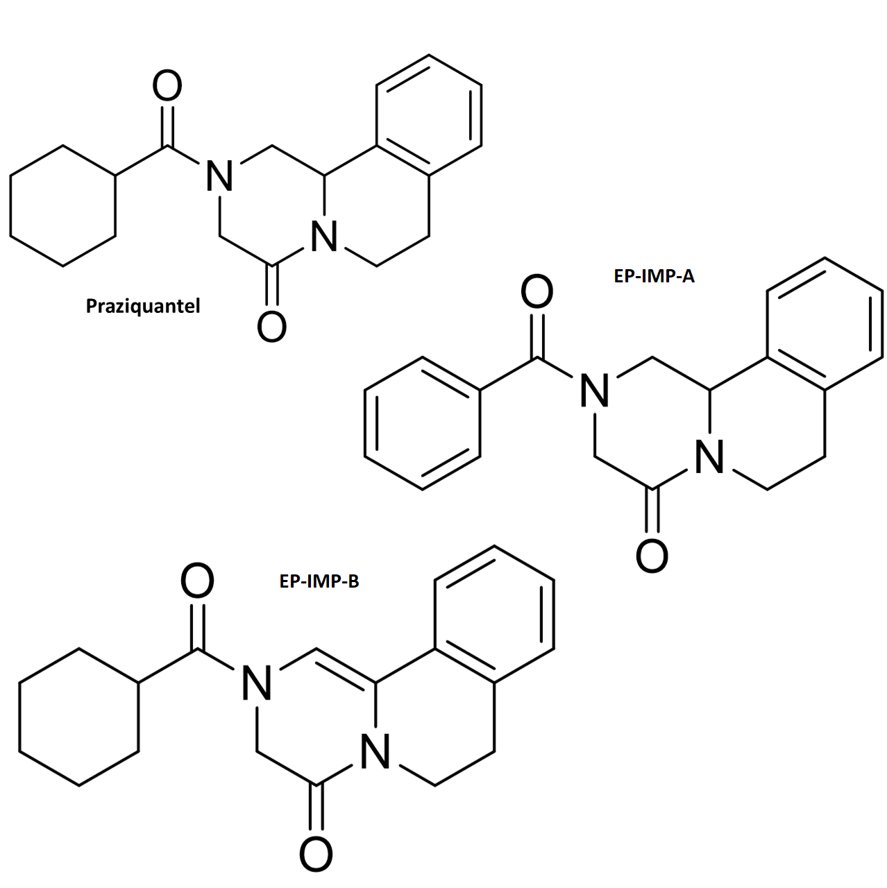
Praziquantel STD-55268-74-1: IMP-A-54761-87-4: IMP-B-125273-86-1
Molecular Formula
Praziquantel STD-C19H24N2O2: IMP-A-C19H18N2O2: IMP-B-C19H22N2O2
Molecular Weight
Praziquantel STD-312.41: IMP-A-306.36: IMP-B-310.39
Synonym

Praziquantel STD-2-(cyclohexanecarbonyl)-3,6,7,11b-tetrahydro-1H-pyrazino[2,1-a]isoquinolin-4-one; (+/-)-Praziquantel; Azinox; Biltricide; Cesol; Cysticide; Distocide; Droncit; Embay 8440; Prazinon; Pyquiton; Warmnil; 4H -Pyrazino[2,1-a]isoquinolin-4-one, 2-(cyclohexylcarbonyl)-1,2,3,6,7,11b-hexahydro; 2-(Cyclohexylcarbonyl)-1,2,3,6,7,11b-hexahydro-4H -pyrazino[2,1-a]isoquinolin-4-one (USP) 

Praziquantel-EP-Impurity-A-2-benzoyl-3,6,7,11b-tetrahydro-1H-pyrazino[2,1-a]isoquinolin-4-one

Praziquantel-EP-Impurity-B-2-(cyclohexanecarbonyl)-6,7-dihydro-3H-pyrazino[2,1-a]isoquinolin-4-one

slide.1