Category
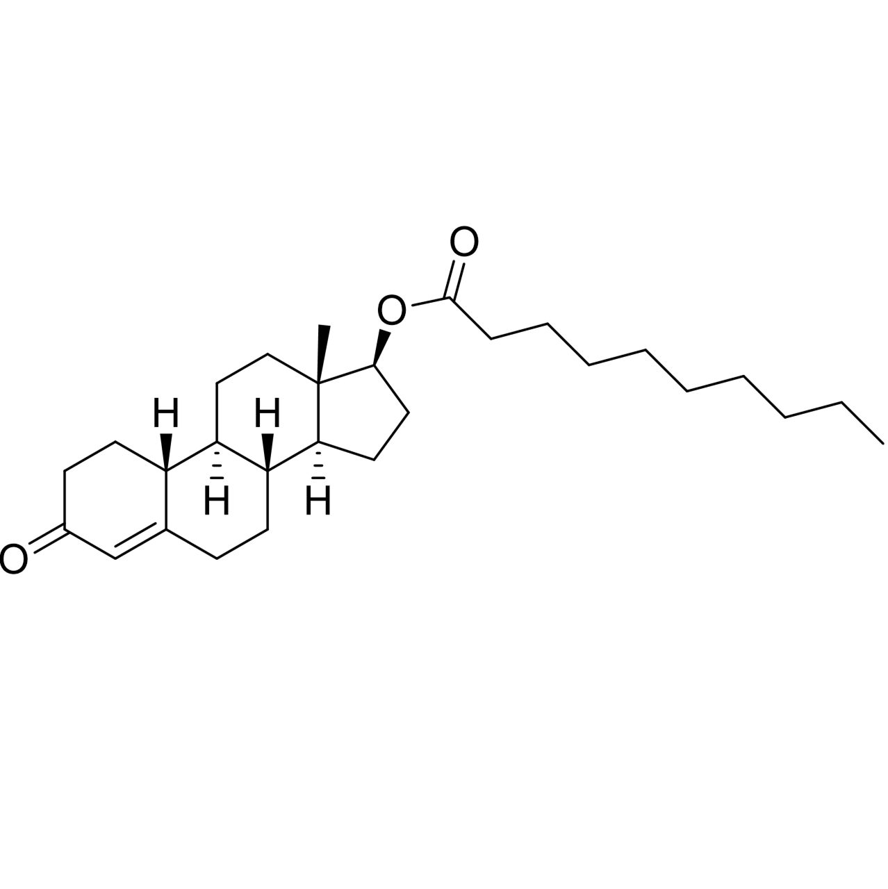
CAS Number
360-70-3
Alternate CAS Number
434-22-0(Free base)
Molecular Formula
C28H44O3
Molecular Weight
428.65 g/mol
Synonym

[(8R,9S,10R,13S,14S,17S)-13-methyl-3-oxo-2,6,7,8,9,10,11,12,14,15,16,17-dodecahydro-1H-cyclopenta[a]phenanthren-17-yl] decanoate; 17β-Hydroxy-19-nor-4-androsten-3-one 17-decanoate; 17β-Hydroxy-4-estren-3-one 17-decanoate; 19-Nortestosterone 17-decanoate; 4-Estren-17β-ol-3-one 17-decanoate; Decadurabolin, Nandrolone decanoate; Estr-4-en-3-one, 17-[(1-oxodecyl)oxy]-, (17β)-; 17β-Hydroxyestr-4-en-3-one decanoate (USP)

slide.1