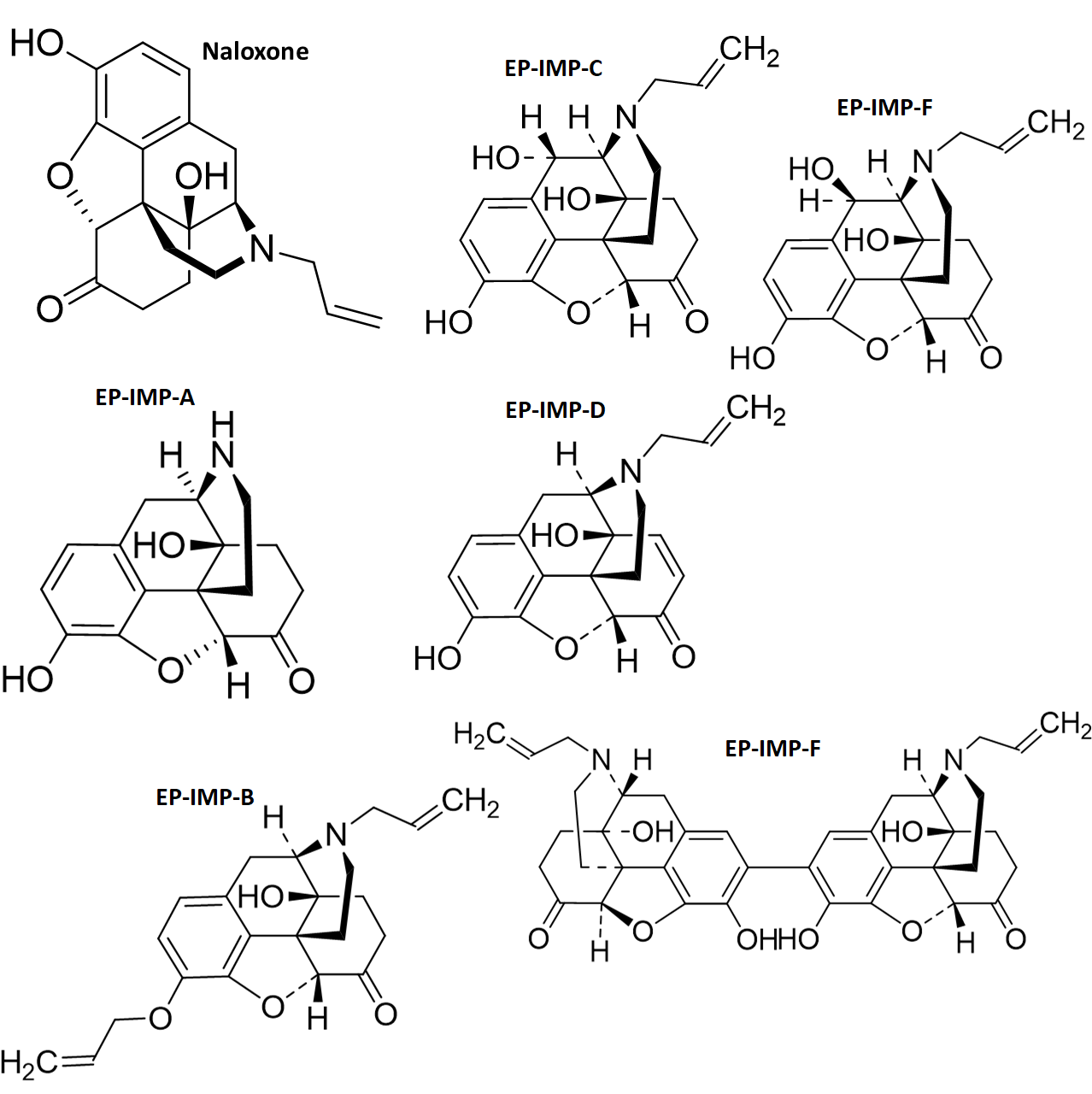
Category
CAS Number
Naloxone STD-465-65-6; 357-08-4(HCl Salt);51481-60-8(HCl Dihydrate): IMP-A-33522-95-1; 52446-24-9 (HCl salt) ; 2162130-71-2 (H2O): IMP-B-1352085-46-1; 2139253-87-3(HCl Salt): IMP-C-2139253-68-0: IMP-D-26451-92-3: IMP-E-211738-08-8: IMP-F-2139253-69-1
Molecular Formula
Naloxone STD-C19H21NO4: IMP-A-C16H17NO4: IMP-B-C22H25NO4: IMP-C-C19H21NO5: IMP-D-C19H19NO4: IMP-E-C36H32N2O8: IMP-F-C19H21NO5
Molecular Weight
Naloxone STD-327.37: IMP-A-287.3: IMP-B-367.44: IMP-C-343.37: IMP-D-325.36: IMP-E-652.7: IMP-F-343.37
Synonym

Naloxone STD-(4R,4aS,7aR,12bS)-4a,9-dihydroxy-3-prop-2-enyl-2,4,5,6,7a,13-hexahydro-1H-4,12-methanobenzofuro[3,2-e]isoquinolin-7-one; (4R,4aS,7aR,12bS)-3-Allyl-4a,9-dihydroxy-2,3,4,4a,5,6-hexahydro-1H-4,12-methanobenzofuro[3,2-e]isoquinolin-7(7aH)-one; (1S,5R,13R,17S)-10,17-dihydroxy-4-(prop-2-en-1-yl)-12-oxa-4-azapentacyclo [9.6.1.01,13.05,17.07,18]octadeca-7(18),8,10-trien- 14-one; 17-allyl-4,5α-epoxy-3,14-dihydroxymorphinan-6-one (USP)

Naloxone-EP-Impurity-A-(4R,4aS,7aR,12bS)-4a,9-dihydroxy-1,2,3,4,5,6,7a,13-octahydro-4,12-methanobenzofuro[3,2-e]isoquinolin-7-one

Naloxone-EP-Impurity-B-(4R,4aS,7aR,12bS)-4a-hydroxy-9-prop-2-enoxy-3-prop-2-enyl-2,4,5,6,7a,13-hexahydro-1H-4,12-methanobenzofuro[3,2-e]isoquinolin-7-one

Naloxone-EP-Impurity-C-(4R,4aS,7aR,12bS,13S)-4a,9,13-trihydroxy-3-prop-2-enyl-2,4,5,6,7a,13-hexahydro-1H-4,12-methanobenzofuro[3,2-e]isoquinolin-7-one

Naloxone-EP-Impurity-D-(4R,4aS,7aR,12bS)-4a,9-dihydroxy-3-prop-2-enyl-2,4,7a,13-tetrahydro-1H-4,12-methanobenzofuro[3,2-e]isoquinolin-7-one

Naloxone-EP-Impurity-E-(4R,4aS,7aR,12bS)-10-[(4R,4aS,7aR,12bS)-4a,9-dihydroxy-7-oxo-3-prop-2-enyl-2,4,5,6,7a,13-hexahydro-1H-4,12-methanobenzofuro[3,2-e]isoquinolin-10-yl]-4a,9-dihydroxy-3-prop-2-enyl-2,4,5,6,7a,13-hexahydro-1H-4,12-methanobenzofuro[3,2-e]isoquinolin-7-one

Naloxone-EP-Impurity-F-(4R,4aS,7aR,12bS,13R)-4a,9,13-trihydroxy-3-prop-2-enyl-2,4,5,6,7a,13-hexahydro-1H-4,12-methanobenzofuro[3,2-e]isoquinolin-7-one

slide.1