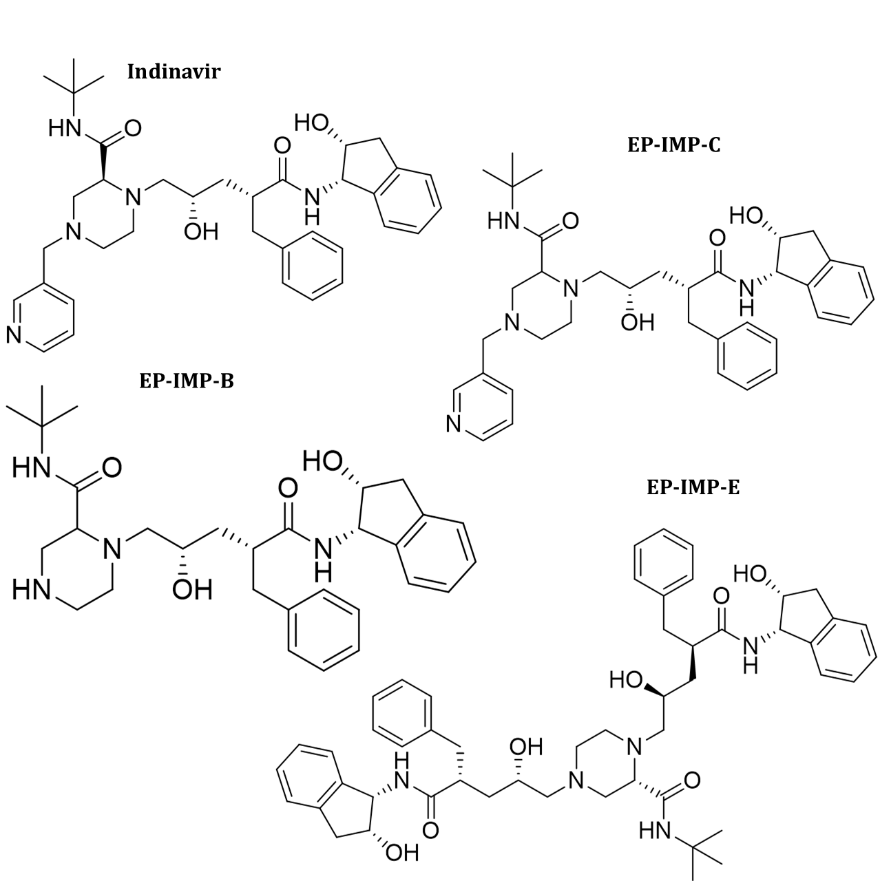
Category
CAS Number
Indinavir STD-150378-17-9; 180683-37-8(Monohydrate Salt);157810-81-6(Sulfate salt): IMP-B-150323-38-9: IMP-C-360558-79-8: IMP-E-NA
Molecular Formula
Indinavir STD-C36H47N5O4: IMP-B-C30H42N4O4: IMP-C- C36H47N5O4: IMP-E-C51H65N5O7
Molecular Weight
Indinavir STD-613.8 g/mol: IMP-B-522.69: IMP-C-613.8 g/mol: IMP-E-860.1 g/mol
Synonym

Indinavir STD-(2S)-1-[(2S,4R)-4-benzyl-2-hydroxy-5-[[(1S,2R)-2-hydroxy-2,3-dihydro-1H-inden-1-yl]amino]-5-oxopentyl]-N-tert-butyl-4-(pyridin-3-ylmethyl)piperazine-2-carboxamide; (2S)-1-[(2S,4R)-4-Benzyl-2-hydroxy-4-{[(1S,2R)-2-hydroxy-2,3-dihydro-1H-inden-1-yl]carbamoyl}butyl]-N-tert-butyl-4-(pyridin-3-ylmethyl)piperazine-2-carboxamide; (2S)-1-[(2S,4R)-4-benzyl-2-hydroxy-4-{[(1S,2R)-2-hydroxy-2,3-dihydro-1H-inden-1-yl]carbamoyl}butyl]-N-tert-butyl-4-(pyridin-3-ylmethyl)piperazine-2-carboxamide (USP)

Indinavir EP-Impurity-B- (2S)-1-[(2S,4R)-4-benzyl-2-hydroxy-5-[[(1S,2R)-2-hydroxy-2,3-dihydro-1H-inden-1-yl]amino]-5-oxopentyl]-N-(1,1-dimethylethyl)piperazine-2-carboxamide

Indinavir EP-Impurity-C- (2S)-1-[(2R,4R)-4-benzyl-2-hydroxy-5-[[(1S,2R)-2-hydroxy-2,3-dihydro-1H-inden-1-yl]amino]-5-oxopentyl]-N-(1,1-dimethylethyl)-4-(pyridin-3-ylmethyl)piperazine2-carboxamide

Indinavir EP-Impurity-E-(2S)-1,4-bis[(2S,4R)-4-benzyl-2-hydroxy-5-[[(1S,2R)-2-hydroxy-2,3-dihydro-1H-inden-1-yl]amino]-5-oxopentyl]-N-(1,1-dimethylethyl)piperazine-2-carboxamide

slide.1