Category
CAS Number
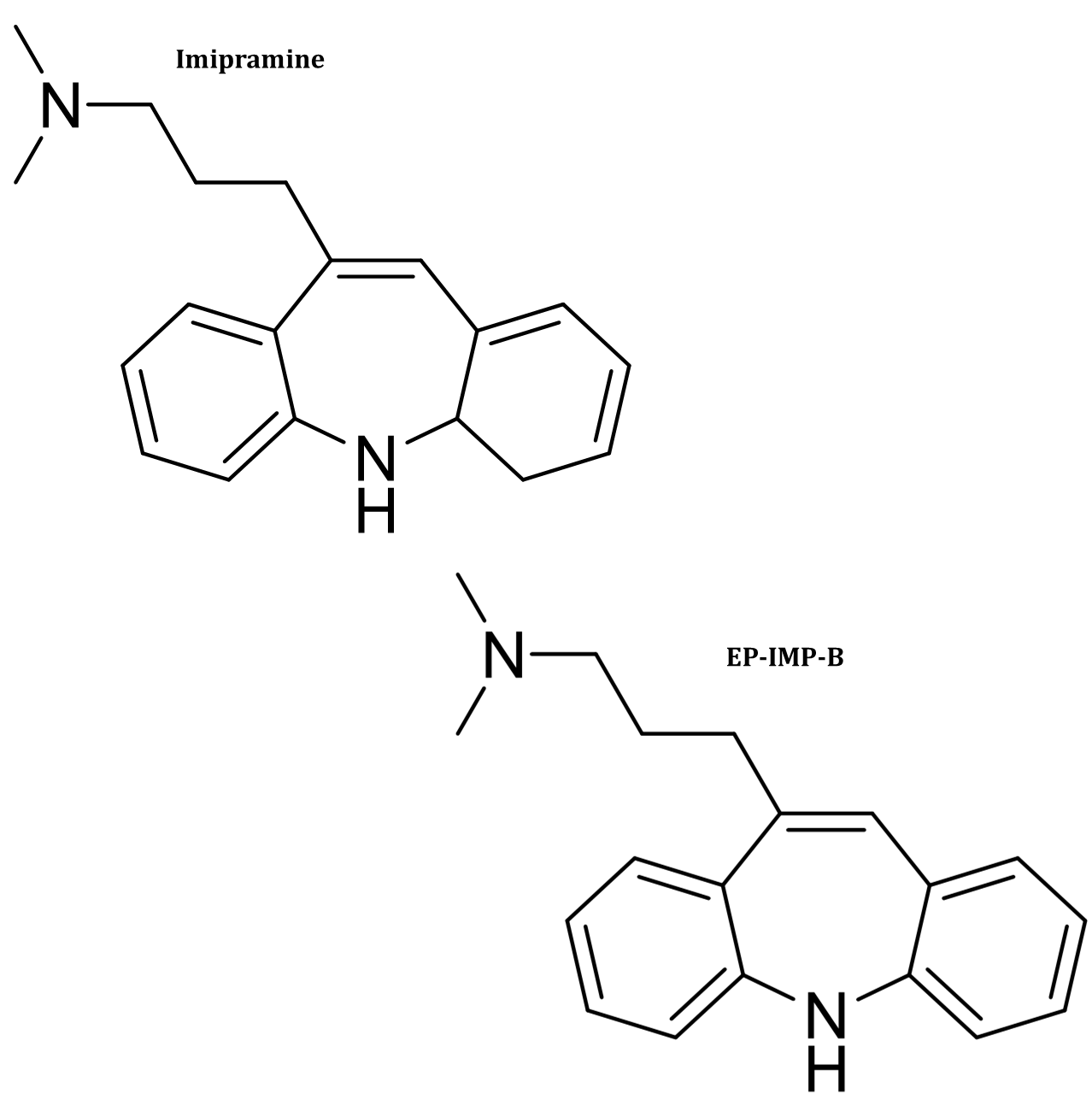
Imipramine STD-50-49-7; 113-52-0(HCl Salt);10075-24-8(Pamoate Salt): IMP-B-303-54-8; 58262-51-4(HCl Salt)
Molecular Formula
Imipramine STD-C19H24N2: IMP-B-C19H22N2
Molecular Weight
Imipramine STD-280.42: IMP-B-278.39
Synonym

Imipramine STD-3-(5,6-dihydrobenzo[b][1]benzazepin-11-yl)-N,N-dimethylpropan-1-amine; 3-(10,11-Dihydro-5H-dibenzo[b,f]azepin-5-yl)-N,N-dimethylpropan-1-amine; 5,6-Dihydro-N-(3-(dimethylamino)propyl)-11H-dibenz(b,e)azepine; 5H-Dibenz(b,f)azepine,10,11-dihydro-5-(3-(dimethylamino)propyl)-; Imipramine (USP)

Imipramine EP-Impurity-B-3-benzo[b][1]benzazepin-11-yl-N,N-dimethylpropan-1-amine 

slide.1